google-site-verification=ne6G5Vr6nbD8EHcN8bwnfb0Wd2QIbpMNrb27Dl6jG4o Februari 2020 ~ ULIMORANGKIR

This is default featured slide 1 title

Go to Blogger edit html and find these sentences.Now replace these sentences with your own descriptions.

This is default featured slide 2 title

Go to Blogger edit html and find these sentences.Now replace these sentences with your own descriptions.

This is default featured slide 3 title

Go to Blogger edit html and find these sentences.Now replace these sentences with your own descriptions.

This is default featured slide 4 title

Go to Blogger edit html and find these sentences.Now replace these sentences with your own descriptions.

This is default featured slide 5 title

Go to Blogger edit html and find these sentences.Now replace these sentences with your own descriptions.

SOAL - 3 SOAL DAN PEMBAHASAN OSN FISIKA SMA

SOAL LATIHAN OLIMPIADE FISIKA UNTUK SMA 








NASKAH SOAL OLIMPIADE FISIKA SMA DI USU 2020

Soal olimpiade, USU 15 - 16 Februari 2020 




















Tugas Persiapan FISIKA kelas XI-IPA SMA, Gaya Archimedes

MATERI        : Tugas Persiapan Laboratorium Fisika kelas XI - IPA  SMA
KELAS          : XI
SEKOLAH    : SMA WR SUPARTAMAN 2 MEDAN
PENULIS      : PARULIAN SIMORANGKIR 





MATERI AJAR GERAK MELINGKAR VERTIKAL

MATERI       : MATERI AJAR GERAK MELINGKAR VERTIKAL 
KELAS         : X SMA 
SEKOLAH   : SMA WR SUPRATMAN 2 MEDAN 
PENULIS     : PARULIAN SIMORANGKIR 



MATERI AJAR GERAK PARABOLA

MATERI       : MATERI AJAR GERAK PARABOLA 
KELAS         : X - SMA 
SEKOLAH   : SMA WR SUPRATMAN 2 MEDAN 
PENULIS     : PARULIAN SIMORANGKIR 



SOAL - SOAL DAN PEMBAHASAN RELATIVITAS

Soal Ulangan Harian ke-1 
semester II (Dua)
SMA WR SUPRATMAN 2 MEDAN 















TUGAS PERSIAPAN LAB. FISIKA GAYA ARCHIMEDES

MATERI     : TUGAS PERSIAPAN LAB. FISIKA 
KELAS       : XI SMA 
SEKOLAH : SMA WR SUPRATMAN 2 MEDAN 
PENULIS    : PARULIAN SIMORANGKIR 






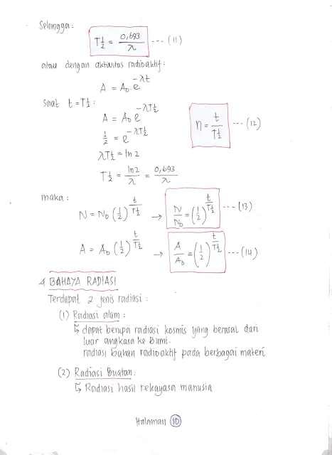
MATERI AJAR RADIO AKTIVITAS

MATERI : INTI ATOM DAN RADIO AKTIF
SEKOLAH : SMA WR SUPRATMAN 2 MEDAN
PENULIS : PARULIAN SIMORANGKIR























SERI - 7 SOAL DAN PEMBAHASAN OSN FISIKA SMA