SERI PEMBAHASAN LISTRIK STATIS SMA 2

Nama Sekolah     
Tahun Pelajaran  
Semester             
Kelas                    
Materi ajar          

 

Pilihan Berganda
 
Soal : 1
Jika muatan +q1 = 10 µC, +q2 = 20 µC, dan +q3 terpisah seperti gambar di bawah ini.

gambar soal nomor 1

Agar gaya coulomb yang bekerja di muatan q2 = nol, muatan q3 adalah ........ µC.
A.  + 2,5
B.  - 2,5
C.  + 25
D. - 25
E.  + 4
 
Pembahasan :
Perhatikan gambar penyelesaian soal di bawah ini,

gambar penyelesaian soal nomor 1

Dari gambar di atas ada 2 gaya yang bekerja pada benda kedua. F2 = – F12 + F23 Karena F2 = 0, maka :
 
0 = – F12 + F23
F12 = F23

gambar penyelesaian soal nomor 1 bagian 2

Kunci : A
 
Soal : 2
Pada gambar di bawah ini,

gambar soal nomor 2
muatan di A = - 20 µC, di B = + 60 µC dan di C = - 80 µC. Gaya coulomb pada A adalah .......... N.
A.   1,5    
B.   2,5    
C.   3,5
D.  4,0    
E.   5,1 

Pembahasan :

gambar penyelesaian soal nomor 2

Tinjau FAB :

gambar penyelesaian soal nomor 2 bag 2
Tinjau FAC :

gambar soal penyelesaian nomor 2 bag 3

Maka resultan gaya FAB FAC :

gambar penyelesaian soal nomor 2 bag 4

Kunci : A

Soal : 3
Tiga buah muatan membentuk sebuah segitiga siku-siku seperti gambar di bawah ini.

gambar soal nomor 3

Besar gaya coulomb yang dirasakan muatan - 4 C adalah ....... x 10 9 N
A.   2
B.   3
C.   4
D.  5
E.   6

Pembahasan :
Perhatikan gambar,

gambar penyelesaian soal nomor 3 bag 1

Kita hitung terlebih dahulu nilai x, menggunakan trigonometri.

gambar penyelesaian soal nomor 3 bag 2

Selanjutnya kita hitung gaya F1 dan F2 menggunakan gaya Coulomb.

gambar penyelesaian soal nomor 3 bag 3

Maka resultan gaya yang dialami muatan  – 4,0 C.

gambar penyelesaian soal nomor 3 bag 4

Kunci : D

 

Soal : 4

Tiga buah muatan 4q, Q dan q terletak pada sumbu X masing-masing pada posisi 0, L/2 , dan L secara berurutan. Agar gaya coulomb pada q sama dengan nol, maka muatan Q harus sama dengan ……
A.   q    
B.   – 2q   
C.   – 4q   
D.  q/2    
E.   q/4

Pembahasan :
Perhatikan gambar penyelesaian di bawah ini,

gambar penyelesaian soal nomor 4 bag 1
Agar resultan gaya benda ke – 3 yang bermuatan q sama dengan nol (F3 = 0).

gambar penyelesaian soal nomor 4 bag 2


Kunci : A

Soal : 5
Sebuah benda bermassa 20 gram dan bermuatan q = + 0,5 μC digantungkan pada seutas tali ringan yang massanya dapat diabaikan. Tepat disebelah kanan benda pada jarak 15 cm diletakkan muatan q’ = – 1,0 μC yang menyebabkan posisi benda menjauhi seperti pada gambar di bawah ini.

gambar soal nomor 5

Maka tegangan pada tali adalah …
A.   0,2 N 
B.   0,23 N     
C.   0,42 N     
D.  0,32 N
E.   0,22 N

Pembahasan :
gambar penyelesaian soal nomor 5 bag 1


Karena sistem dalam keadaan setimbang.

Tinjau sumbu – x :

gambar penyelesaian soal nomor 5 bag 2

Tinjau sumbu – y :

gambar penyelesaian soal nomor 5 bag 3

Kemudian kita bandingkan persamaan (1) dengan persamaan (2).

gambar penyelesaian soal nomor 5 bag 4

Kunci : E
 
Soal : 6
Dua bola ringan yang muatannya sama besar dan sejenis yakni Q, masing -masing digantung dengan tali yang panjangnya  50 cm.

gambar soal nomor 6

Kedua bola saling menolak sehingga terpisah sejauh 60 cm. Jika massa tiap bola 1,2 gram, besar Q adalah .........
A.   0,1 μC
B.   0,3 μC
C.   0,6 μC
D.  0,8 μC
E.   1,0 μC

Pembahasan :

gambar penyelesaian soal nomor 6 bag 1


Dari gambar di atas, cos θ = 4/5 dan sin θ = 3/5. Sistem dalam keadaan setimbang.
Tinjau sumbu – y :

gambar penyelesaian nomor 6 bag 2

Tinjau sumbu – x :

gambar penyelesaian soal nomor 6 bag 3

Bandingan persamaan (2) dengan persamaan (1).

gambar penyelesaian soal nomor 6 bag 4

Kunci : B

Soal : 7
Perhatikan gambar berikut ini,

gambar soal nomor 7

Resultan gaya F yang bekerja pada muatan +q  pada gambar adalah ........
gambar opsi soal nomor 7

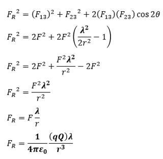
Pembahasan :
Perhatikan soal, tidak ada angka maka tolong lebih teliti.

gambar penyelesaian soal nomor 7 bag 1

Dengan menggunakan rumus penjumlahan vektor “cos”.BU : FR2 = F12 + F22 + 2F1F2 cos θ dan perhatikan gaya F13 dan F23 membentuk sudut 2θ. BU : FR2 = F12 + F22 + 2F1F2 cos θ dan perhatikan gaya F13 dan F23 membentuk sudut 2θ.

gambar penyelesaian soal nomor 7 bag 2

Maka resultan gaya dapat kita hitung,

gambar penyelesaian soal nomor 7 bag 3


Kunci : A

Soal : 8
Perhatikan gambar berikut ini,

gambar soal nomor 8

Kuat medan listrik di titik P adalah .......
gambar opsi nomor 8











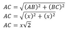
Pembahasan :
Perhatikan gambar penyelesaian dengan baik – baik, medan listrik statis termasuk besaran vektor. Sehingga penyelesaiannya harus menggunakan rumusan vektor.

gambar penyelesaian soal nomor 8 bag 1

Terlebih dahulu hitung panjang diagonal persegi AC = BD.

gambar penyelesaian soal nomor 8 bag 2
Kemudian kita lanjutkan dengan rumusan medan listrik, E :

gambar penyelesaian nomor 8 bag 3

Medan Listrik EA = EB = EC = ED memiliki kuat (besar) yang sama tetapi arahnya berbeda. Dari gambar terlihat EB dan ED saling meniadakan. Dan selanjutnya kita tinggal menganalisis Kuat Medan listrik EA dan EC.

gambar penyelesaian soal nomor 8 bag 4

Vektor medan listrik EA dan EC berimpit membentuk sudut θ = 00 , sehingga penjumlahan vektor medan listrik statis.
gambar penyelesaian nomor 8 bag 5

Kunci : B

Soal : 9
Sebuah kubus memiliki rusuk-rusuk yang panjangnya a meter. Jika muatan +Q coulomb menempati tiap-tiap sudut kubus, maka potensial listrik di pusat kubus adalah ..........
gambar opsi soal nomor 9












Pembahasan :
Perhatikan gambar penyelesaian di bawah ini dengan baik,

gambar penyelesaian soal nomor 9 bag 1

Pahami jika potensial listrik statis termasuk besaran skalar.

gambar penyelesaian soal nomor 9 bag 2
Sedang jaraknya sama dengan setengah dari diagonal ruang yang terbentuk (a3/2).

gambar penyelesaian soal nomor 9 bag 3

Maka total potensial di titik P :

gambar penyelesaian soal nomor 9 bag 4


Kunci : D

Soal : 10
Muatan Q = 2,5 x 10 - 6  C ditempatkan pada titik pusat bidang x - y. Beda potensial VA – VB jika titik A pada koordinat (5, 0) cm dan titik B pada koordinat (0, 10) cm adalah ..
A.  120 kV
B.  180 kV
C.  225 kV
D. 250 kV
E.  300 kV

Pembahasan :
Perhatikan gambar penyelesaian di bawah ini,

gambar penyelesaian soal nomor 10 bag 1


Potensial di titik A, VA :

gambar penyelesaian soal nomor 10 bag 2

Potensial di titik B, VB :

gambar penyelesaian soal nomo10 bag 3

Maka beda potensial VA – VB :
ó VA – VB = 450.103 – 225.103 volt
ó VA – VB = 225.103 volt
ó VA – VB = 225 kV

 

Kunci : C

 

 

 

SERI -1 SOAL DAN PEMBAHASAN VEKTOR KELAS X MIPA

SOAL NOMOR : 01 
SOAL NOMOR : 02 
SOAL NOMOR : 03
SOAL NOMOR : 04
SOAL NOMOR : 05
SOAL NOMOR : 06
SOAL NOMOR : 07
SOAL NOMOR : 08
SOAL NOMOR : 09
SOAL NOMOR : 10
SOAL NOMOR : 11
SOAL NOMOR : 12
SOAL NOMOR : 13
SOAL NOMOR : 14
SOAL NOMOR : 15