google-site-verification=ne6G5Vr6nbD8EHcN8bwnfb0Wd2QIbpMNrb27Dl6jG4o ULIMORANGKIR

This is default featured slide 1 title

Go to Blogger edit html and find these sentences.Now replace these sentences with your own descriptions.

This is default featured slide 2 title

Go to Blogger edit html and find these sentences.Now replace these sentences with your own descriptions.

This is default featured slide 3 title

Go to Blogger edit html and find these sentences.Now replace these sentences with your own descriptions.

This is default featured slide 4 title

Go to Blogger edit html and find these sentences.Now replace these sentences with your own descriptions.

This is default featured slide 5 title

Go to Blogger edit html and find these sentences.Now replace these sentences with your own descriptions.

15 SOAL DAN KUNCI CERMIN CEKUNG

 

Pada kesempatan kali ini, saya hanya berbagi soal dan 
kunci jawaban. Tentang Cermin Cekung untuk tingkatan 
SMP. Semoga pengalaman berbagi ini dapat membantu 
dan memberikan manfaat yang besar buat kita semua. 
terima kasih. 


Nomor : 01 

Sebuah benda berada 15 cm di depan cermin cekung 

yang mempunyai jari-jari kelengkungan 20 cm. 

Jarak bayangannya adalah ........ cm.

a. 30                    
b. 20                      
c. 15                      
d. 5 


Nomor : 02.   
Sebuah paku diletakkan tegak lurus pada sumbu utama 
cermin cekung yang jarak fokusnya 2 cm. Bila jarak 
paku terhadap cermin 3 cm, maka jarak bayangannya 
.......

a. 1,2 cm di depan cermin

b. 1,2 cm di belakang cermin

c. 6,0 di depan cermin

d. 6,0 cm di belakang cermin


Nomor : 03.   
Jika sebuah benda berada di muka cermin cekung 
seperti gambar berikut ini, 

gambar soal nomor 3



maka bayangan benda berada sejauh ........
a. 7,2 cm
b. 14 cm
c. 18 cm
d. 72 cm


Nomor : 04
Lilin diletakkan di depan cermin seperti gambar 
berikut ini. 

gambar soal nomor 4


Jarak fokus cermin cm, perbesaran bayangan 
yang dibentuk cermin adalah ........
a. 4 kali
b. 2 kali
c. 1 kali
d. 0,5 kali


Nomor : 05.   
Benda diletakkan di depan cermin seperti tampak 
pada gambar. 


gambar soal nomor 5


Perbesaran bayangan yang terbentuk adalah ......
a. 3 kali
b. 2 kali
c. 1 kali
d. 0,5 kali

Nomor : 06.   
Seorang siswa meletakkan benda 6 cm di depan 
cermin cekung. Jika jarak fokus cermin 5 cm, 
perbesaran bayangan ......... kali
a. 4                            
b. 5                          
c. 6                      
d. 7

Nomor : 07
Jarak fokus cermin berikut adalah 5 cm. 

gambar soal nomor 7


Perbesaran bayangan adalah ........ kali.
a. 0,5
b. 1,5
c. 4,5
d. 6,0


Nomor : 08
Jika cermin di bawah ini menghasilkan perbesaran 4 kali, 

gambar soal nomor 8



maka fokus cermin tersebut adalah ........
a. 6 cm
b. 12 cm
c. 14 cm
d. 16 cm



Nomor : 09
Perbesaran bayangan yang dibentuk oleh cermin 
berikut adalah .......... kali.

gambar soal nomor 9


a. 0,5
b. 1
c. 2
d. 4

Nomor : 10
Sebuah benda berada 25 cm di depan cermin. 
Jika terbentuk bayangan nyata dengan tinggi 4 kali 
tinggi benda, maka jarak fokus cermin adalah ..... cm.
a. 5                         
b. 10                      
c. 20                          
d. 25

Nomor : 11.
Sebuah benda diletakkan di muka sebuah cermin 
cekung yang mempunyai jarak titik api 15 cm.
Bila tinggi benda 1 cm seperti pada gambar, 

gambar soal nomor 11


maka benda harus diletakkan di depan cermin cekung 
sejauh ...... cm.
a. 20                     
b. 30                     
c. 40                                                   
d. 50

Nomor : 12.
Sebuah benda berada 25 cm di depan cermin lengkung. 
Bayangan yang terbentuk adalah terbalik dengan tinggi 
bayangan 4 kali tinggi benda. Jenis dan fokus cermin 
adalah .........
a. cekung, 5 cm
b. cembung, 10 cm
c. cekung, 20 cm
d. cembung, 20 cm

Nomor : 13.   
Sebuah benda tegak diletakkan didepan sebuah cermin 
cekung berjari-jari 60 cm. Jarak benda ke bayangan 
32 cm. Bila terbentuk bayangan sejati tetapi bayangan 
lebih kecil dari benda, maka posisi benda dari cermin 
adalah ......
a. 16 cm                 
b. 32 cm                
c. 48 cm                 
d. 80 cm

Nomor : 14.   
Di manakah sebuah benda kecil harus diletakkan di depan 
sebuah cermin cekung yang jari-jari kelengkungannya 
12 cm agar terbentuk bayangan 2 kali besar benda 
a. 3 cm atau 9 cm                    
b. 2 cm dan 4 cm
c. 5 cm dan 10 cm                        
d. 6 cm dan 12 cm

Nomor :15
Sebuah paku diletakkan tegak lurus pada sumbu utama 
cermin cekung yang jarak fokusnya 2 cm. Bila jarak 
paku terhadap cermin 3 cm, maka jarak bayangannya 
......
a. 1,2 cm di depan cermin
b. 1,2 cm di belakang cermin
c. 6,0 di depan cermin
d. 1,2 cm di belakang cermin

Kunci Jawaban : 

1.     A

2.     C

3.     D

4.     D

5.     D

6.     B

7.     A

8.     B

9.     C

10.  C

11.  A

12.  C

13.  D

14.  A

15.  C



Jika ada kunci jawaban yang tidak dapat anda 
pahami, mohon tinggalkan pertanyaan pada kolom 
komentar, terima kasih. 


SERI 20 OSN SMA

Selamat datang di blog saya,
Kita melanjutkan berbagi pengalaman belajar 
untuk bersiap latihan mengikuti OSN tingkat SMA.

 

Soal :

Sebuah balok m1 bergerak dengan kecepatan v 
pada sebuah bidang licin. Kemudian menumbruk 
sistem pegas massa m2 yang diam dengan 
konstanta k.


Hitunglah :

a)   Perpindahan maksimum pegas

b)   Kecepatan akhir kedua benda

 

Pembahasan :

 

Bagian a)  


Saat balok pertama menumbuk balok kedua, pegas akan 
tertekan sejauh ∆x. 


Dalam soal di atas, massa pegas tidak disebut maka 

energi potensial pegas kita abaikan saja. 



Dan di dalam soal disebutkan balok kedua awalnya diam,   
v2 = 0.



Kiri dan kanan pada ruas kita kalikan dengan 2, 
kecepatan kedua balok kita misalkan bernilai u. 
Lalu subsitusikan nilai kecepatan balok pertama, 
v1 = v m/s.


Sesaat setelah tumbukan, kedua balok bergerak 

bersama – sama dalam satu arah.



Selanjutnya kita subsitusikan persamaan (4) dengan 

persamaan (5).




Akhirnya kita memperoleh nilai dari perubahan pegas 

saat ditekan balok pertama, sesuai dengan 

persamaan (6). 



Selanjutnya kita akan menghitung kecepatan kedua balok 
setelah tumbukkan, yang dibantu oleh pegas. 
Menjadi layaknya tumbukkan lenting sempurna ( e = 1 ). 

Bagian b) 



Kita dapat menggunakan hukum kekekalan momentum, 


Karena awalnya balok kedua berada pada posisi diam

(v = 0).



Setelah pegas tertekan, lalu kedua balok akan terlempar 

ke kiri dan kanan. Sehingga kita anggap terjadi tumbukan 

lenting sempurna. 



Karena disoal telah disebutkan balok kedua awalnya 
diam (v2 = 0 ).


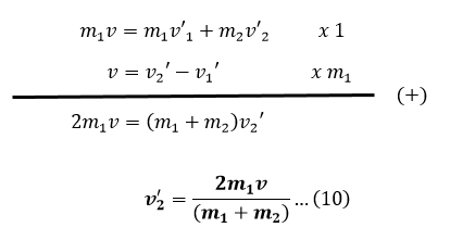
Kemudian persamaan (7) dengan persamaan (9) 

kita eliminasikan. 





Dari persamaan (10) kita dapati balok kedua bergerak 

ke kanan. Dan terakhir kita akan menghitung kecepatan 

balok pertama setelah di “lempar” pegas ke kiri.

 

Subsitusikan persamaan (10) ke dalam persamaan (9). 



Pada bagian v, kita samakan penyebutnya. 



Dari persamaan (11) terlihat balok pertama bergerak 
searah dengan balok kedua, yakni sama – sama 
ke kanan.

Demikian pengalaman berbagi kali ini yang dapat 
saya share, semoga bermanfaat buat kita semua.