Selamat datang di blog saya, pada kesempatan kali ini saya akan berbagi pengalaman mengajar tentang Tegangan Jepit (Vj). Dimana sumber tegangan (Baterai) disusun seri atau paralel. Untuk itu saya coba membatasi contoh pada pertemua ini sesuai dengan daftar isi yang sebanyak 3 contoh soal disertai penyelesaiannya.
Daftar Isi :
1. Contoh soal : 01 (Baterai disusun seri)
2. Contoh soal : 02 (Resistor disusun paralel dengan satu baterai)
3. Contoh soal : 03 (Baterai disusun seri untuk kedua kali)
Contoh : 01 ( 3 Baterai disusun seri)
Tentukan
:
Pembahasan :
Pembahasan :
2Ω, 3Ω, dan 6Ω
a) Menggunakan gaya gerak listrik
b) Menggunakan hukum ohm
Pembahasan :
Menggunakan ggl :
a) Menggunakan gaya gerak listrik
b) Menggunakan hukum ohm
Pembahasan :
Menggunakan ggl :
a) Kuat arus
melalui rangkaian
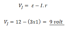
b) Tegangan
jepit pada baterai
Contoh 02 (3 Baterai disusun paralel)
Perhatikan gambar di bawah ini, tiga buah resistor masing - masing 6Ω, 3Ω, dan 2Ω disusun paralel. Lalu dihubungkan
dengan sumber tegangan 3,0 volt ; 0,5Ω. Hitunglah kuat arus yang mengalir pada
rangkaian …
Menggunakan hukum Ohm :
Catatan :
Pada pembahasan contoh soal nomor 2, saya dengan sengaja membandingkan penghitungan kuat arus pada rangkaian. Dengan menggunakan Tengangan jepit dan hukum ohm. Pada penyelesaiannya, ketepatan benar dalam arti hasil yang diperoleh sama. Namun untuk kasus berbeda, belum tentu hasilnya sama. Jadi saya berharap ada kreativitas yang akan saya bagikan pada sesi berikutnya.
Contoh 03 :( 2 Baterai disusun seri)
Perhatikan gambar rangkaian di bawah ini!
a) Kuat arus yang mengalir
pada rangkaian
b) Berapa tegangan jepit
baterai
c) Berapa
tegangan antara ujung – ujung resistor 3Ω
Pembahasan :
Kuat
arus melalui rangkaian :
Tegangan antara ujung – ujung resistor :
Tegangan jepit baterai, VJ :
Catatan :
Pembahasan contoh soal : 3, saya hanya menitik beratkan pembahasan soal dengan menggunakan konsep tegangan jepit.

















0 comments:
Posting Komentar
Silahkan Berkomentar dengan Bijak sesuai dengan semangat kemajuan yang membangun Blog ini dan Jangan keluar dari topik