Soal : 15
Gambar di bawah ini, 
Untuk tiap
gelombang tersebut, tentukan :
a)   Amplitudo 
b)   Periode getaran 
c)   Frekuensi getaran 
Pembahasan : 
Bagian a) 
Amplitudo = simpangan maksimum dari kestimbangan, 
sehingga dapat ditentukan. 
Amplitudo gelombang A, AA = ± 1 mm 
Amplitudo gelombang B, AB = ± 2 mm
Bagian b)
Periode (T) = waktu yang diperlukan untuk 
menempuh
satu gelombang (1 – bukit dan 1 – lembah). 
Maka periode,
Gelombang A, TA = 10 sekon 
Gelombang B, TB = 20 sekon 
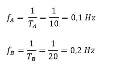
Bagian c) 
Frekuensi ( f ) = banyak gelombang yang terjadi 
dalam
tiap sekon. Dan dalam soal ini, terlihat frekuensi 
dapat dihitung dengan
menggunakan hubungan 
antara periode dengan frekuensi. 






0 comments:
Posting Komentar
Silahkan Berkomentar dengan Bijak sesuai dengan semangat kemajuan yang membangun Blog ini dan Jangan keluar dari topik