Soal : 3 (halaman
115/No.10)
Pusat sebuah lingkaran terletak pada perpotongan garis y = √3 dan sumbu
Y serta menyinggung garis x√3 – 3y = 0. Carilah persamaan lingkaran tersebut.
(Nilai max : 15)
Jawab,
Bentuk umum persamaan lingkaran dengan P(a,b) :
L ≡ (x – a)2 + (y – b)2 = r2.
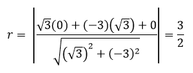
Jarak titik (a,b) ke garis Ax + By + C = 0
Persamaan garis x√3 – 3y = 0
Persamaan
lingkaran :
L
≡ (x – a)2 + (y – b)2 = r2






0 comments:
Posting Komentar
Silahkan Berkomentar dengan Bijak sesuai dengan semangat kemajuan yang membangun Blog ini dan Jangan keluar dari topik