google-site-verification=ne6G5Vr6nbD8EHcN8bwnfb0Wd2QIbpMNrb27Dl6jG4o SERI 18 : SOAL OSN FISIKA SMA ~ ULIMORANGKIR

SERI 18 : SOAL OSN FISIKA SMA

Dua buah benda A dan B yang masing – masing bermassa mA dan mB terhubung dengan tali ringan dan tidak elastik melalui suatu katrol yang massanya diabaikan. Benda A ditempatkan pada suatu permukaan bidang miring licin dengan sudut kemiringan 300 terhadap horizontal. 

GAMBAR SOAL SERI 18 OSN FISIKA SMA

Diketahui saat t = 0 sekon, kedua benda dilepaskan secara bersamaan dari keadaan diam. Jika pada saat t = 1 sekon, benda A telah naik setinggi h = 1,0 meter terhadap posisi awalnya. Maka rasio mA dengan mB adalah …

A.   3 : 2

B.   2 : 3

C.   1 : 3

D.  8 : 7

E.   7 : 8

 

Penyelesaian :

 

Langkah Pertama

Buat gambar gaya yang bekerja pada benda A dan B.

GAMBAR GAYA SERI 18 OSN FISIKA SMA

Langkah kedua,
Analisis kita lakukan secara terpisah,

Tinjau benda B,

PERSAMAAN 1 SERI 18 OSN FISIKA SMA

Tinjau benda A, 



Karena bidang miring licin maka gaya gesek fg = 0.


PERSAMAAN 2 SERI 18 OSN FISIKA SMA

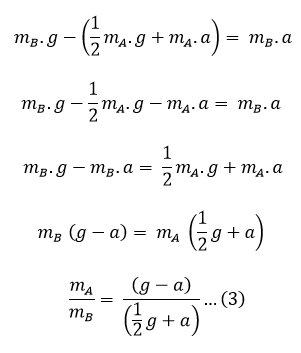
Subsitusikan pers (2) ke dalam pers (1) 


PERSAMAAN 3 SERI 18 OSN FISIKA SMA

Langkah ketiga,

Kita mencari nilai percepatan sistem bukan percepatan benda A atau percepatan benda B.

GAMBAR TRIGONO SERI 18 OSN FISIKA SMA

Selanjutnya kita subsitusikan nilai percepatan kita peroleh ke dalam persamaan (3). 



Kunci : B


Terima kasih sudah berkunjung ke blog saya, semoga pengalaman berbagi ini memberikan manfaat yang lebih buat kita semua. 

0 comments:

Posting Komentar

Silahkan Berkomentar dengan Bijak sesuai dengan semangat kemajuan yang membangun Blog ini dan Jangan keluar dari topik