google-site-verification=ne6G5Vr6nbD8EHcN8bwnfb0Wd2QIbpMNrb27Dl6jG4o google-site-verification=ne6G5Vr6nbD8EHcN8bwnfb0Wd2QIbpMNrb27Dl6jG4o SERI OSN : 7 MOMENTUM ~ ULIMORANGKIR

SERI OSN : 7 MOMENTUM

Soal : 07

Dua buah benda saling berdekatan dengan kecepatan konstan dalam satu garis lurus. Kecepatan benda 1 dan 2 berturut – turut adalah 4 m/s dan 5 m/s. Perbandingan massa benda 1 dan 2 adalah 2 : 1. Kemudian kedua benda tersebut saling bertumbukan lenting sempurna. Kecepatan benda 1 dan 2 setelah tumbukan menjadi.


SERI OSN : 7 MOMENTUM GAMBAR SOAL

SERI OSN : 7 MOMENTUM  OPSI

Pembahasan : 

SERI OSN : 7 MOMENTUM

Perbandingan massa,

m1 : m2 = 2 : 1 
m1 = 2m2

 

Hukum kekekalan Momentum,

 

ó  m1.v1 + m2.v2 = m1.v1’ + m2.v2

ó 4m1 + (– 5)m2 = m1.v1’ + m2.v2

ó   4(2m2) – 5m2 = (2m2).v1’ + m2.v2

ó       8m2 – 5m2 = 2m2.v1’ + m2.v2

ó                     3 = 2v1’ + v2’ … (1)



Tumbukan lenting sempurna ( e = 1)


SERI OSN : 7 MOMENTUM

Eliminasi persamaan (1) dan (2),


SERI OSN : 7 MOMENTUM

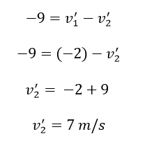
Kemudian untuk menentukan nilai kecepatan benda kedua setelah tumbukan.


SERI OSN : 7 MOMENTUM

Kesimpulannya, setelah tumbukan benda 1 bergerak ke kiri dengan kecepatan 2 m/s. Dan benda 2 bergerak ke kanan dengan kecepatan 7 m/s.

 

Kunci : - 


Bahan Ulangan untuk kelas IX - C SMP 




0 comments:

Posting Komentar

Silahkan Berkomentar dengan Bijak sesuai dengan semangat kemajuan yang membangun Blog ini dan Jangan keluar dari topik