Pilihan Berganda 
Soal : 1 
Kutub – kutub sebuah amperemeter dan voltmeter ditandai + dan – .Diagram rangkaian berikut yang benar adalah …
Kunci : C
Amperemeter (A) merupakan alat ukur kuat arus listrik, agar berfungsi dengan baik, harus dipasang secara seri dengan komponen listrik lain yang terpasang. Sedangkan Voltmeter (V) merupakan alat ukur tegangan (potensial) listrik, dan agar berfungsi dengan baik maka harus dipasangkan secara paralel dengan komponen yang akan diukur.
Soal : 2
Perhatikan gambar rangkaian di bawah ini,
Hambatan pengganti antara titik P dan Q akan menjadi …
a.    15Ω
b.   10Ω
c.    5Ω
d.   2,5Ω
Kunci : (tidak ada pilihan)
Serikan hambatan 4Ω dan 2Ω, sehingga :
ó
RS1 = 4 + 2 = 6Ω
Paralelkan RS1 dengan 6Ω, sehingga :
Serikan RP1 dengan 6Ω, sehingga :
ó
RS2 = RP1 + 6Ω = 3 + 6 = 9Ω
Terakhir,
paralelkan RS2 dengan 6Ω, sehingga : 
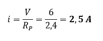
Soal : 3
Perhatikan gambar rangkaian tertutup berikut,
Besar kuat arus listrik total dalam rangkaian tersebut adalah …
a.    2,5 A
b.   2,0 A
c.    1,8 A
d.   1,2 A
Kunci : A
Paralelkan R1 dengan R2 terlebih dahulu,
Maka kuat arus pada rangkaian,
Soal : 4
Gambar berikut menunjukkan suatu rangkaian listrik dengan semua sakelar terbuka.
Posisi saklar yang memberikan hambatan 5Ω diantara X dan Y adalah …
| 
   
  | 
  
   Saklar
  S1  | 
  
   Saklar
  S2  | 
  
   Saklar
  S3  | 
 
| 
   a  | 
  
   Tertutup  | 
  
   Tertutup  | 
  
   Tertutup
    | 
 
| 
   b  | 
  
   Tertutup  | 
  
   Tertutup
    | 
  
   Terbuka
    | 
 
| 
   c  | 
  
   Tertutup  | 
  
   Terbuka  | 
  
   Tertutup
    | 
 
| 
   d  | 
  
   Tertutup  | 
  
   Terbuka
    | 
  
   Terbuka
    | 
 
Kunci : A
Ketiga saklar S1, S2, harus ditutup dan S3 harus dibuka. Bukti RXY = 5Ω.
Maka rangkaian eqivalen :
Soal : 5
Perhatikan gambar berikut
Kuat arus I1 dan I2 berturut – turut adalah …
a.    3A dan 1A
b.   2A dan 3A
c.    1A dan 2A
d.   3A dan 2A
Kunci : A
ó
5 = 4 + I2
ó
I1 + 2 = 5 
Soal : 6
Gambar berikut menunjukkan seutas kawat seragam yang dihubungkan ke suatu rangkaian listrik di titik A dan x . Panjang PQ adalah 100 cm.
Jika bacaan amperemeter menunjukkan 2,5 mA maka hambatan antara titik P dan x adalah …
a.    1.250 ohm 
b.   1.500 ohm 
c.    1.750 ohm 
d.   2.000 ohm 
Kunci : D
Soal : 7 
Perhatikan gambar berikut.
Nilai arus listrik pada amperemeter tersebut adalah …
a.    1,0 amper 
b.   1,2 amper 
c.    1,5 amper 
d.   2,0 amper 
Kunci : B
Langkah pertama,
Serikan
hambatan 2Ω, 5Ω, dan 3Ω.
Langkah kedua, 
Paralelkan hambatan 10Ω dengan RS1.
Langkah ketiga,
Serikan
RP1 dengan hambatan 5Ω. 
Soal : 8 
Gambar berikut menunjukkan suatu rangkaian listrik.
Jika arus I1 adalah 1,5 A bacaan amperemeter A adalah …
b.   3,5 amper 
c.    4,5 amper 
d.   5,0 amper 
Ingat sifat rangkaian paralel, besar tegangan V15 = V30, sehingga kita dapat menghitung kuat arus pada hambatan 15Ω. dan kita beri simbol I2.
ó V15 = V30
Maka
kuat arus yang tercatat Amperemeter (A) sama dengan kuat arus total (ITot).
Soal : 9 
Lampu pijar dalam rangkaian berikut berpijar pada intensitas normalnya ketika saklar S1 dan S2 yang ditutup
Intensitas terang lampu jika hanya S1 atau S2 ditutup akan …
| 
   
  | 
  
   Hanya
  S1 yang
  ditutup   | 
  
   Hanya
  S2  yang
  ditutup   | 
 
| 
   a  | 
  
   Intensitas
  terang meningkat   | 
  
   Intensitas
  terang meningkat  | 
 
| 
   b  | 
  
   Intensitas
  terang meningkat   | 
  
   Intensitas
  terang menurun  | 
 
| 
   c  | 
  
   Intensitas
  terang menurun   | 
  
   Intensitas
  terang meningkat  | 
 
| 
   d  | 
  
   Intensitas
  terang menurun   | 
  
   Intensitas
  terang menurun  | 
 
Kunci : C
Kita misalkan hambatan lampu RL = R.Saat S1 dan S2 dalam keadaan terbuka.
Saat S1 ditutup dan S2 terbuka,
Kuat arus yang mengalir pada lampu, I2.
Saat S2 ditutup dan S1 terbuka, maka I3 menunjukkan besar yang sama dengan I1. Sehingga dapat disimpulkan saat S1 ditutup dan S2 terbuka intensitas lampu menurun. Sedangkan saat S1 dibuka dan S2 tertutup intensitas nyala lampu meningkat.
Soal : 10 
Perhatikan
pernyataan – pernyataan berikut 
(1)   Arus yang mengalir
melalui tiap resistor adalah sama 
(2) Rasio beda potensial pada ujung – ujung tiap resistor sebanding
     dengan hambatan tiap – tiap resistor
(3) Hambatan total rangkaian sama dengan jumlah dari masing –
     masing hambatan
Jika tiga resistor
identik dihubungkan secara seri, pernyataan yang benar ditunjukkan oleh nomor …
a.  (3)
b.  (1) dan (2)
c.   (1) dan (3)
d.  (1), (2), dan (3)
Kunci : D
Perhatikan gambar pembahasan di bawah ini,
Dari keterangan soal, R1 = R2 = R3 = R.
·       
Pernyataan
(1) (Benar) 
Sesuai dengan salah satu dari 3 sifat
rangkaian seri, yakni : I1 = I2 = I3 = ITot.
·       
Pernyataan
(2) (Benar)
Rasio sama artinya dengan perbandingan,
sehingga rasio bedapotensial pada ujung – ujung pada tiap resistor. 
ó V1 : V2 : V3
ó (I1 x R1) : (I2
x R2) : (I3 x R3) 
ó 1 : 1 : 1 
 
·       
Pernyataan
(3) (Benar)
Sesuai dengan salah satu dari 3 sifat
rangkaian seri, yakni memperbesar nilai hambatan. 
ó RS = R1 + R2
+ R3
Soal : 11 
Perhatikan gambar berikut
Jika antara A dan B disuplai dengan baterai, rasio kuat arus ketika saklar S terbuka dan ketika saklar S tertutup adalah …
a.    2 : 3 
b.   3 : 4
c.    4 : 5 
d.   5 : 6
Kunci : C
Saat saklar S ditutup,
Kuat arus, I2 :
Maka rasio saat S dibuka dengan S ditutup,
Maka I1 : I2 = 4 : 5
Tiga resistor 6Ω, 4Ω, dan 2Ω dihubungkan seperti pada gambar berikut ini
Jika bedapotensial 24V diberikan pada ujung – ujung PQ. Beda potensial pada ujung – ujung resistor 6Ω, 4Ω, dan 2Ω adalah …
a.    4V, 8V, dan 12V
b.   4V, 12V, dan 12V
c.    10V, 8V, dan 6V
d.   12V, 8V, dan 4V
Kunci : d 
Kita buat gambar rangkaian yang dilengkapi dengan sumber tegangannya.
Langkah kedua,
Kita
hitung hambatan totalnya, RPQ terlebih dahulu. 
Kita hitung kuat arus yang mengalir pada rangkaian.
Langkah keempat (langkah terakhir),
Soal : 13
Pada rangkaian berikut bacaan pada amperemeter adalah 3A
Beda potensial pada ujung – ujung resistor 8 Ω adalah …
a.    20 volt 
b.   16 volt 
c.    12 volt 
d.   8 volt 
Kunci : d
Serikan hambatan 8Ω dengan 4Ω,
Kemudian paralelkan RS dengan 6Ω
Tegangan sumber = tegangan paralel,
Kuat arus yang melalui hambatan,
Sehingga I8Ω = I4Ω = 1A, maka tegangan pada resistor 8Ω dan 4Ω.
Soal : 14
Rangkaian berikut yang akan memberikan hambatan total 4 ohm adalah …
Kunci : (no option)
Opsi a
Opsi b
Opsi c
Opsi d
Soal : 15
Dua dari kawat P, Q, R, dan S akan dihubungkan ke titik – titik x dan y untuk membentuk suatu rangkaian lengkap seperti gambar berikut.
Kedua kawat yang akan memberikan bacaan amperemeter paling tinggi adalah …
a.    P dan Q
b.   P dan R 
c.    P dan S
d.   Q dan R
Kunci : a
Titik PQ :
Hambatan PQ = QS = RS = 1,6 Ω
Titik PR :
Titik QR = PS = PR
Soal : 16 
Perhatikan rangkaian berikut
Hambatan R agar pada voltmeter terbaca 7,5 volt adalah …
a.    7,5 kΩ
b.   10,0 kΩ
c.    12,5 kΩ
d.   15,0 kΩ
Kunci : d
ó V = V5K + VR
Soal : 17
Perhatikan rangkaian berikut
Arus yang terbaca pada amperemeter A adalah …
a.    2 amper 
b.   3 amper 
c.    4 amper 
d.   5 amper 
Kunci : c
Hambatan total = rangkaian paralel, RP :
Maka kuat arus yang tercatat pada amperemeter, I :
Soal : 18
Perhatikan gambar berikut,
Tegangan V baterai agar amperemeter menunjukkan 1,5 A adalah …
a.    28 volt 
b.   32 volt 
c.    36 volt 
d.   40 volt 
Kunci : (No option)
Serikan 18Ω dengan 12Ω,
ó
RS2 = 12 + RP1
ó
RS2 = 12 + 15 
ó
RS2 = 27 Ω
Tegangan sumber, V :
ó
V = I x RS2
ó
V = 1,5 x 27
ó
V = 40,5 volt 
Soal : 19 
Perhatikan gambar berikut,
Kuat arus yang diberikan oleh baterai 12V dengan hambatan dalam 2/3 ohm adalah …
a.    2A
b.   3A
c.    4A
d.   6A
Kunci : d
Langkah pertama,
Paralelkan 8Ω dengan 2Ω, RP1 :
Langkah kedua,
Paralelkan
4Ω dengan 6Ω, RP2 : 
Langkah ketiga,
Serikan RP1 dengan RP2 , RS1 :
Langkah keempat,
Paralelkan 3Ω, 6Ω, dan RS1.
Langkah kelima (langkah terakhir),
Menghitung
kuat arus listrik yang mengalir pada rangkaian. 
Soal : 20
Perhatikan gambar berikut,
Jika antara titik A dan B dipasang baterai dengan ggl 15V. Arus yang mengalir melalui resistor 40Ω adalah …
a.    0,10 amper 
b.   0,20 amper 
c.    0,30 amper 
d.   0,50 amper 
Kunci : b
Langkah pertama,
Serikan
15Ω, 20Ω, 15Ω, 20Ω, 25Ω, dan 30Ω.
ó
RS1 = 15 + 20 + 15 + 20 + 25 + 30 
ó
RS1 = 105 Ω
Langkah
kedua, 
Serikan
40Ω dengan 35Ω.
ó RS2 = 40 + 35
ó
RS2 = 75Ω
Langkah
ketiga, 
Paralelkan RS1 dengan RS2.
Langkah ketiga,
Hitung kuat arus listrik, I :
Langkah keempat (langkah terakhir),
Menghitung kuat arus yang melalui hambatan 40Ω.






0 comments:
Posting Komentar
Silahkan Berkomentar dengan Bijak sesuai dengan semangat kemajuan yang membangun Blog ini dan Jangan keluar dari topik