Selamat
datang di blog saya,
Pada
kesempatan kali ini kita akan membahas 10 soal Relativitas yang dikutip dari
buku BRILIAN 3 Fisika untuk kelas XII SMA/MA halaman 107.
Pilihan Berganda
Soal : 21
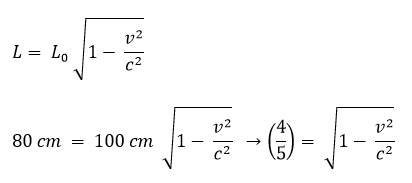
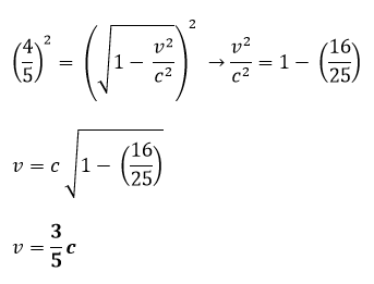
Batang
panjangnya 1 meter bergerak dengan kecepatan v. Diamati oleh pengamat yang diam
panjang batang menjadi 80 cm. Jika c = kecepatan cahaya, maka kecepatan batang
itu adalah …
A. c/5 D. 4c/5
B. 2c/5 E. c
C. 3c/5
Kunci : C
Pembahasan
:
Kiri
kanan kita kuadratkan,
Soal : 22
Panjang
benda diukur saat bergerak menyusut 20 cm dari panjangnya saat diukur dalam
keadaan diam. Jika panjang benda diukur dalam keadaan diam panjangnya 1,0 meter
dan c = kecepatan cahaya, maka kecepatan gerak benda adalah …
A. 0,2c D. 0,6c
B. 0,3c E. 0,8c
C. 0,4c
Kunci : D
Pembahasan
:
L
= L0 – 20 cm
L
= 100 cm – 20 cm
L
= 80 cm
Maka
kecepatan batang bergerak,
Soal : 23
Benda
bergerak dengan laju 0,6c dengan arah sesuai panjang benda. Bagi pengamat yang
diam melihat panjang benda mengalami penyusutan sebesar …
A. 6% D. 64%
B. 20% E. 80%
C. 36%
Kunci : E
Pembahasan
:
Misalkan,
Panjang
menurut kerangka diam, L0
Panjang
menurut kerangka bergerak, L
Soal : 24
Suatu
peristiwa terjadi selama 3 sekon menurut pengamat yang bergerak menjauhi
peristiwa itu dengan kecepatan 0,8c (c = kecepatan cahaya). Menurut pengamat
yang diam, peristiwa tersebut terjadi selama selang waktu …
A. 5,0 sekon D.
1,8 sekon
B. 4,8 sekon E.
1,2 sekon
C. 3,0 sekon
Kunci : A
Pembahasan
:
Soal : 25
Massa
diam sebuah partikel adalah m0. Massa partikel tersebut saat
bergerak dengan kecepatan 0,8c akan bertambah menjadi …
A. 1,25m0 D. 1,67m0
B. 1,42m0 E. 1,92m0
C. 1,52m0
Kunci : D
Pembahasan
:
Soal : 26
Sebuah
partikel bergerak dengan laju v = ½ c. Jika m0 = massa diam, m =
massa bergerak, E1 = energi kinetik, E0 = energi diam,
maka berlaku …
Kunci : -
Pembahasan
:
Massa
benda bergerak, m
Energi
kinetik, EK
Soal : 27
Sebuah
jembatan panjangnya 200 m. Jika diamati oleh seorang pengamat didalam pesawat
yang bergerak dengan kecepatan 0,6c (c = kecepatan cahaya) sejajar dengan
jembatan, maka panjang jembatan menurut temanmu adalah …
A. 233 meter D. 160 meter
B. 200 meter E. 120 meter
C. 180 meter
Kunci : D
Pembahasan
:
Soal : 28
Bila
c ( c = kecepatan cahaya) maka kecepatan yang diperlukan oleh suatu benda
supaya massanya bertambah 25% adalah …
A. 0,2c D. 0,6c
B. 0,3c E. 0,8c
C. 0,5c
Kunci : -
Pembahasan
:
Massa
benda bergerak bertambah 25% (m = m0 + 25% m0)
Soal : 29
Berikut
ini adalah ilmuwan yang berperan dalam teori relativitas, kecuali …
A. Newton D. Kirchoff
B. Michelson – Morley E. Einstein
C. Galileo
Kunci : D
Pembahasan
: -
Soal : 30
Percobaan
Michelson – Morley menggunakan sifat cahaya, yaitu …
A. Dispersi D. Refraksi
B. Interferensi E. Difraksi
C. Polarisasi
Kunci : B
Pembahasan
: -






0 comments:
Posting Komentar
Silahkan Berkomentar dengan Bijak sesuai dengan semangat kemajuan yang membangun Blog ini dan Jangan keluar dari topik