google-site-verification=ne6G5Vr6nbD8EHcN8bwnfb0Wd2QIbpMNrb27Dl6jG4o Februari 2025 ~ ULIMORANGKIR

This is default featured slide 1 title

Go to Blogger edit html and find these sentences.Now replace these sentences with your own descriptions.

This is default featured slide 2 title

Go to Blogger edit html and find these sentences.Now replace these sentences with your own descriptions.

This is default featured slide 3 title

Go to Blogger edit html and find these sentences.Now replace these sentences with your own descriptions.

This is default featured slide 4 title

Go to Blogger edit html and find these sentences.Now replace these sentences with your own descriptions.

This is default featured slide 5 title

Go to Blogger edit html and find these sentences.Now replace these sentences with your own descriptions.

UJIAN MATEMATIKA WAJIB SEMESTER GANJIIL TP 2016/2017

Selamat datang di blog saya,

Pada kesempatan kali ini saya akan berbagi pengalaman belajar dan mengajar. Berikut ini merupakan bahan ajar yang saya dapat dan pernah saya bimbing. Murid yang datang dari salah satu sekolah swasta terkenal di kota Medan. Sekolah tersebut langanan mengirimkan siswanya mengikuti lomba - lomba seperti olimpiade baik tingkat SMP maupun SMA. Bahkan berulang kali menjadi juara baik di tingkat nasional maupun internasional. 

 

SOAL UJIAN SEMESTER GANJIIL TP 2016/2017
BIDANG STUDI  : MATEMATIKA WAJIB
KELAS               : XII MIA
TANGGAL          : 16 DESEMBER 2016
JUMLAH SOAL    : 30 SOAL PILIHAN BERGANDA
WAKTU             : 120 MENIT

 

Pilihan Berganda :

 

Soal : 1
Pusat dan jari – jari lingkaran 2x2 + 2y2 + 8x – 12y + 18 = 0 adalah …

A.   (– 2,3); 2

B.   (– 4,6); 34

C.   (2,3); 4

D.  (3, – 2); 2

E.   (4, – 6);34

 

Soal : 2
Persamaan garis singgung yang ditarik dari titik (4, - 4) pada x2 + y2 – 6x + 4y + 8 = 0 adalah …

A.   3x + 4y + 4 = 0

B.   x – 2y – 12 = 0

C.   – 3x + 4y + 28 = 0

D.  3x – 4y – 28 = 0

E.   x + 2y + 4 = 0

 

Soal : 3
One of the tangent lines of the circle (x + 5)2 + (y – 4)2 = 13 that is perpendicular (tegak lurus) to line 2x + 3y – 10 = 0 is …

A.   3x – 2y + 10 = 0

B.   3x – 2y + 26 = 0

C.   2x – 3y – 10 = 0

D.  3x – 2y + 15 = 0

E.   2x – 3y + 10 = 0

 

Soal : 4
Persamaan parabola puncak (0,0) dan berfokus di (0,– 2) adalah …

A.   y2 = - 8x

B.   y2 = - 4x

C.   x2 = - 8y

D.  x2 = 8y

E.   x2 = - 4y


Soal : 5
Persamaan parabola yang berfokus di (2,2) dan persamaan garis direktis x = – 4 adalah …

A.   y2 + 4y + 12x – 8 = 0

B.   x2 – 4x – 12y – 8 = 0

C.   y2 – 4y + 12x + 8 = 0

D.  x2 – 4x + 12y + 8 = 0

E.   y2 – 4y – 12x – 8 = 0  

 

Soal : 6
Given that





then the value of k is …

A.   1

B.   2

C.   3

D.  4

E.   5

 

Soal : 7
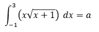
Hasil dari






adalah …













Soal : 8
(4 sin 4x cos 2x) dx = …














Soal : 9

















Soal : 10
The value of

A.   1

B.   2

C.   3

D.  4

E.   5



Soal : 11
Nilai dari







Adalah ….
A.   10                    D. 40
B.   20                    E. 50
C.   30


Soal : 12
Nilai dari





Nilai dari 15a/16 adalah …
A.   1
B.   2
C.   3
D.  4
E.   5

Soal : 13

















Soal : 14


Soal : 15

A.   1
B.   2
C.   3
D.  4
E.   5

Soal : 16
A.   1 : 1
B.   1 : 2
C.   2 : 3
D.  2 : 1
E.   3 : 2

Soal : 17
Diketahui A(p, – 3, p + 2), B(- 4, 1, 6), dan C(- 1, - 1, 5). Jika A, B, C
koliner maka nilai p adalah …
A.   1
B.   2
C.   3
D.  4
E.   5

Soal : 18

















Soal : 19
Given that A(2, - 4, r) and B(2p, - 2p, p + q) if 


then the value of r is.
A.   1
B.   2
C.   3
D.  4
E.   5

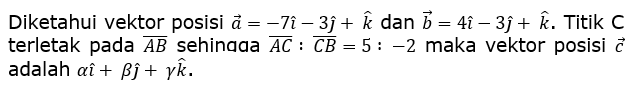
Soal : 20
Nilai dari , β, γ adalah …
A.   – 1
B.   – 5
C.   + 3
D.  + 4
E.   – 6

Soal : 21
Diketahui jajaran genjang ABCD dengan A(2,3), B(8,3), D(4,6). 
Titik E terletak pada AC sehingga AE : EC = 1 : 3 maka 
vektor BE dapat dinyatakan sebagai …


Soal : 22

A.   – 18
B.   54
C.   18
D.  – 54
E.   – 36

Soal : 23
A.   – 18
B.   + 13
C.   + 16
D.  + 54
E.   – 36

Soal : 24















Soal : 25
A.   300

B.   450

C.   600

D.  1200

E.   1500


Soal : 26

Diketahui segitiga ABC dengan A(4,– 2, 1), B(3, 1, 3) dan C(6,– 1, 4).

Besar sudut ABC adalah …
A.   300
B.   450
C.   600
D.  1200
E.   1500

Soal : 27
Diketahui P(1,2,3), Q(3,– 4,0) dan R(5,4,– 1). Panjang proyeksi 
vektor PQ dan vektor PR adalah ... 
A.   4/3
B.   2/3
C.   5/2
D.  6/5
E.   7/8

Soal : 28
Proyeksi vektor orthogonal a dan b adalah …

A.   (– 6, – 2, 3)

B.   (– 12, – 4, 6)

C.   (12, 4, 6)

D.  (6, – 12, – 4)

E.   (6, 2, – 3)

 

Soal : 29
A.   – 1
B.   – 5
C.   + 3
D.  + 4
E.   – 6

Soal : 30
Luas jajaran genjang ABCD dengan koordinat A(1,3,2), B(– 5, 6, 1) dan D(3, 5, – 2) adalah …
A.   10
B.   2015
C.   25
D.  40
E.   1011