SERI - 2 MEDAN MAGNET SOAL DAN PEMBAHASANNYA
Seri - 2 ini berisikan nomor 7 hingga nomor 12, dengan seri yang ada ini diharapkan pemahaman anda tentang medan magnet cukup kuat. Sehingga seperti apa pun soal yang bakal anda hadapi tidak terlalu sulit untuk menyelesaiakannya. Semoga seri kali ini dapat membantu anda mempermudah cara mempelajari Medan magnet, salam sehat selalu.
METODE PENJUMLAHAN RESULTAN VEKTOR
Penjumalah
dan pengurangan dua buah vektor dapat dilakukan dengan metode :
·
Metode Poligon
·
Metode
Analitis
-
Cosinus
-
Sinus
Untuk
dua atau lebih vektor dapat dilakukan penjumlahan atau pengurangannya dengan
cara :
·
Metode Poligon :
Contoh 01 :
Perhatikan gambar berikut, tentukan yang
mana menjadi vektor resultan.
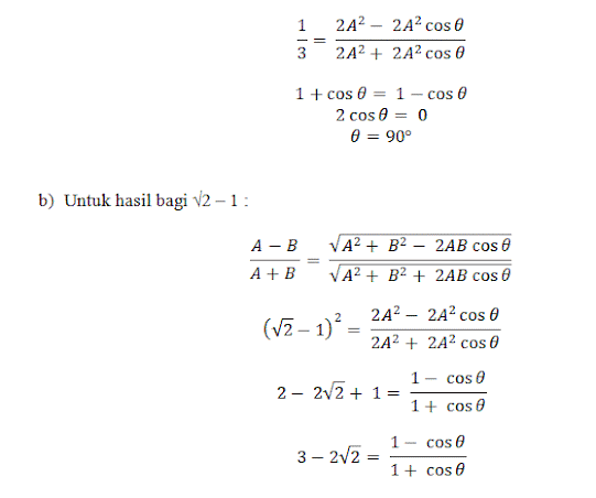
Soal 02 :
Dua vektor
besarnya sama 5,0 meter. Tentukanlah sudut apit terkecil
antara kedua
vektor ini agar besar vektor resultanya 3√10 meter.
Penyelesaian :
Langganan:
Komentar (Atom)










































