google-site-verification=ne6G5Vr6nbD8EHcN8bwnfb0Wd2QIbpMNrb27Dl6jG4o ULIMORANGKIR

This is default featured slide 1 title

Go to Blogger edit html and find these sentences.Now replace these sentences with your own descriptions.

This is default featured slide 2 title

Go to Blogger edit html and find these sentences.Now replace these sentences with your own descriptions.

This is default featured slide 3 title

Go to Blogger edit html and find these sentences.Now replace these sentences with your own descriptions.

This is default featured slide 4 title

Go to Blogger edit html and find these sentences.Now replace these sentences with your own descriptions.

This is default featured slide 5 title

Go to Blogger edit html and find these sentences.Now replace these sentences with your own descriptions.

SERI PEMANTIL 1 UAS SMP KELAS IX

 

  1.  Sebuah benda bermassa 2 kg jatuh dari ketinggian 4,0 meter. Benda tersebut menumbuk tanah dengan energi … 

  1. 20 Joule 

  2. 40 Joule 

  3. 80 Joule 

  4. 160 Joule 


Kunci : C 


Pembahasan : 




Catatan : jika di dalam soal tidak disebutkan nilai gravitasi bumi, maka anda dapat menggunakan nilai gravitasi bumi g = 10 m.s – 2 



  1. Perhatikan gambar di bawah ini. Untuk menaikan benda bermassa 3 kg setinggi 5,0 meter pada kelajuan tetap diperlukan energi 200 J ( g = 10 m.s – 2 ). Besarnya energi untuk mengatasi gaya gesek adalah … 


  1. 50 J 

  2. 150 J 

  3. 185 J 

  4. 200 J 


Kunci : A


Pembahasan : 


Energi Potensial yang diberikan, EP : 


Maka untuk mengatasi gaya gesek, diperlukan energi tambahan : 


  1. Sebuah ayunan sederhana berayun dari A menuju C. Hubungan besar energi potensial dan energi kinetik. 


  1. Energi kinetik berkurang, energi potensial bertambah 

  2. Energi kinetik bertambah, energi potensial berkurang 

  3. Energi kinetik dan energi potensial bertambah 

  4. Energi kinetik dan energi potensial berkurang 


Kunci : B 


Pembahasan : 


Hukum kekekalan energi mekanik, EM : 

“Energi tidak dapat diciptakan dan energi tidak dapat dimusnahkan”



Sehingga jika EP berkurang maka EK-nya akan bertambah.


  1. Perhatikan gambar di bawah ini



Besar usaha yang dilakukan oleh gaya F1 dan F2

  1. 30 N+20 N x 20 m

  2. 30 N-20 N x 20 m

  3. 30 N x 20 m

  4. 20 N x 20 m


Kunci : B 


Pembahasan : -



  1. Seorang anak dengan berat 350 N menaiki tangga setinggi 7,0 meter dalam waktu 40 sekon. Daya yang dilakukan anak tersebut … 

  1. 2000 watt 

  2. 125 watt 

  3. 61,25 watt 

  4. 12,5 watt 


Kunci : C


Pembahasan : 


Energi potensial anak, EP : 



Maka daya yang sudah dilakukan si anak : 


  1. Sebanyak 500 gram air dipanaskan dari suhu 30℃ sampai 80℃. Bila kalor jenis air 4 200 J/kg, maka kalor yang diperlukan adalah … 

  1. 63 000 J 

  2. 105 000 J 

  3. 168 000 J 

  4. 210 000 J

Kunci : B


Pembahasan 


Diketahui, 

Massa air, ma=500 gram=0,5 kg

Kalor jenis air, ca=4200 J/kg℃

Perubahan suhu, T=80℃-30℃=50℃


Ditanya,

Jumlah kalor yang diperlukan, Q = … ? 




  1. Sepotong besi mempunyai massa 0,2 kg dan kalor jenis 0,11 kkal/kg. Jika suhunya turun dari 75 menjadi 25, maka banyak kalor yang dilepaskan … 

  1. 0,22 kcal 

  2. 0,55 kcal 

  3. 1,10 kcal

  4. 1,65 kcal


Kunci : C


Pembahasan : 


Diketahui, 

Massa besi, m = 0,2 kg 

Kalor jenis besi, c = 0,11 kkal/kg

Perubahan suhu, T=25℃-75℃= -50℃


Ditanya, 

Jumlah kalor yang dilepaskan, Q = …. ? 


Q=m.c.∆T

Q=0,2 x 0,11 x-50

Q=-1,1 kkal


Tanda negatif pada jawaban Q, menunjukkan besi melepaskan kalor ke lingkungannya. 


  1. Sebuah balok baja bermassa 3 kg dan suhunya 5. Kalor jenis baja 0,11 kkal/kg. Kemudian balok baja tersebut dipanaskan sampai 30. Berapakah kalor yang telah diterima balok baja tersebut. 

  1. 8,25 kalori 

  2. 11,25 kalori 

  3. 8 250 kalori 

  4. 112,50 kalori 


Kunci : C


Pembahasan : 

Diketahui, 

Massa balok baja, m = 3 kg 

Kalor jenis baja, c = 0,11 kkal/kg

Perubahan suhu, T=30℃-5℃=25℃


Ditanya, 

Jumlah kalor yang diperlukan, Q = … ?


Q=m.c.∆T

Q=3 x 0,11 x 25

Q=8, 25 kcal

Q=8 250 kalori


  1. Sebanyak 21.000 Joule kalor diberikan ke dalam 5 kg air dengan kalor jenis air 4 200 J/kg. Kalor ini menaikkan suhu air sebesar … (dalam satuan )

  1. 1,0 

  2. 5

  3. 10

  4. 25

Kunci : C


Pembahasan : 


Diketahui, 

Banyak kalor, Q = 21 000 J 

Massa air, m = 5 kg 

Kalor jenis, c = 4 200 J/kg


Ditanya

Kenaikkan suhu, T=?

Q=m.c.∆T

21 000=5 x 4200 xT

T=10℃


  1. Di bawah ini ditunjukkan grafik percepatan terhadap resultan 

gaya dari dua buah benda P dan Q 


Maka massa benda P dan benda Q. 

  1. Massa P = 0,34 kg dan massa Q = 1,00 kg 

  2. Massa P = 0,67 kg dan massa Q = 1,00 kg 

  3. Massa P = 0,34 kg dan massa Q = 0,67 kg 

  4. Massa P = 1,00 kg dan massa Q = 1, 67 kg 


Kunci : D 

Pembahasan : 


Cara I ( Dengan menggunakan hukum II Newton ) 


Untuk benda Q, 

F=m.a 

Untuk benda P, 


Cara II (Menggunakan Trigonometri dan Phytagoras)




  1. Resultan gaya F yang bekerja pada benda bermassa m menyebabkan percepatan 6 m/s2. Tentukan percepatan jika resultan gaya 2F diberikan pada benda bermassa 3m. 

  1. 1,0 m/s2

  2. 2,0 m/s2

  3. 3,0 m/s2

  4. 4,0 m/s2


Kunci : D 


Pembahasan : 


Diketahui, 

Gaya pertama, F1 = F  dengan massa m1= m akan 

menghasilkan percepatan, a1 = 6 m/s2

Gaya kedua, F2 = 2F dengan massa m2 = 3m  


Ditanya,  percepatan a2 = …. ? 



  1. Sebuah balok yang massanya 5 kg dipercepat oleh sebuah gaya 30 N. Berapa percepatan balok jika gaya gesek diabaikan (m/s2). 

  1. 4,0

  2. 4,8 

  3. 5,0

  4. 6,0


Kunci : D 


Pembahasan : 


( gaya gesek diabaikan fg = 0 ) 




  1. Sebuah mobil balap memiliki gaya 10.000 N yang dikerjakan oleh mesinnya dan total hambatan oleh gesekkan angin dan jalan adalah 2.000 N. Jika percepatan mobil 2 m/s2. Hitung massa mobil balap itu (dalam satuan kilogram). 

  1. 1.000 kg 

  2. 2.000 kg 

  3. 3.000 kg

  4. 4.000 kg 


Kunci : D


Pembahasan : 




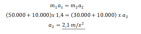
  1. Sebuah lokomotif (kepala kereta api) yang massanya 10.000 kg mampu menarik gerbong yang massanya 50.000 kg dengan percepatan tetap 1,40 m/s2. Jika lokomotif digunakan untuk menarik gerbong yang massanya 30.000 kg. Berapa percepatan yang dihasilkan (abaikan gaya gesekkan). 

  1. 1,0 m/s2

  2. 1,2 m/s2

  3. 2,1 m/s2

  4. 21 m/s2


Kunci : C 


Pembahasan : 


Dari soal tercatat menggunakan lokomotif yang sama, berarti F1 = F2



  1. Sebuah gaya F yang bekerja pada benda yang massanya m1menyebabkan percepatan sebesar 4 m/s2. Jika gaya F bekerja pada benda yang massanya m2 menyebabkan percepatan sebesar 12 m/s2. Percepatan jika F bekerja pada benda yang massanya m1+m2

  1. 1,0 m/s2

  2. 2,0 m/s2

  3. 3,0 m/s2

  4. 4,0 m/s2


Kunci  : C 


Pembahasan : 


Gaya yang digunakan sama, F



Massanya digabungkan, maka percepatannya


  1. Sebuah truk mainan yang massanya 5 kg ditarik dari keadaan diam  oleh resultan gaya 20 N. Tentukan selang waktu yang diperlukan truk untuk mencapai kecepatan 14 m/s. 

  1. 3,2 sekon 

  2. 3,4 sekon 

  3. 3,5 sekon 

  4. 3,6 sekon 


Kunci : C 


Pembahasan : 


Percepatan, a : 



Selang waktu t=…?



  1. Sebuah truk sedang melaju pada 16 m/s dan berhenti 8 sekon sejak pengereman dilakukan. Massa truk adalah 1 ton. Maka besar gaya pengereman … dalam satuan Newton. 

  1. 1.000 

  2. 2.000

  3. 3.000

  4. 4.000


Kunci : B


Pembahasan : 


percepatan truk 

gaya pengereman, fg


  1. Perhatikan gambar di bawah ini 

Pada gambar di atas, pria tersebut sedang berusaha memindahkan tumpukkan balok ke suatu tempat. Berarti pria tersebut sedang memberikan gaya… 

  1. Gaya tarik 

  2. Gaya gesek 

  3. Gaya dorong 

  4. Gaya listrik  


Kunci : A 


  1. Alat ukur gaya = … 

  1. Dinamometer 

  2. Manometer 

  3. Ohmmeter 

  4. Voltmeter 


Kunci : A 


  1. Perhatikan gambar, pada roda memiliki bunga ban 

  1. Agar ban tidak slip 

  2. Agar ban terlihat modis 

  3. Agar ban menjadi tebal 

  4. Agar ban menjadi lebih mahal 


Kunci : A