Bilangan Berpangkat (Eksponen) Kelas IX SMP/MTs

Tahun Pelajaran   : 2024/2025
Semester              : I(satu)
Kelas                    : IX – SMP/MTs
Materi Ajar          : Eksponen
Uji Kompetensi   : I(satu)

 

Uji Kompetensi 1

 

Pilihan Berganda

 

Soal : 1

Hasil dari 52 – 51 + 50 adalah …

a.    5

b.   15

c.    21

d.   25

 

Pembahasan :

 

ó 52 – 51 + 50

ó 25 – 5 + 1

ó 20 + 1

ó 21

 

Kunci : c

 

Soal : 2

Hasil dari (– 3)2 + (– 3)3 + (– 3)- 1 adalah …

1

 


 




Pembahasan :

2


 





Kunci : b

 

Soal : 3

Nilai dari

3




adalah ….

a.    1,2

b.   1,66

c.    1,7

d.   2,44

 

Pembahasan :

4


 









Kunci : d

 

Soal : 4

Hasil dari (4/3)3 – (3/2) – 2 adalah …

a.    52/27

b.   64/27

c.    67/27

d.   76/27

 

Pembahasan :

5

 











Kunci : a

 

Soal : 5

Hasil operasi 363 x 24 – 2 adalah …

a.    34

b.   38

c.    26 x 34

d.   212 x 38

 

Pembahasan :

6

  










Kunci : a

 

Soal : 6

Bentuk perkalian faktorisasi prima dari 183 + 183 + 183 adalah …

a.    39 x 23

b.   38 x 24

c.    37 x 23

d.   36 x 22

 

Pembahasan :

 

ó 183 + 183 + 183

ó (2 x 32)3 + (2 x 32)3 + (2 x 32)3

ó 3(23 x 36)

ó 23 x 37

atau

ó 37 x 23

 

Kunci : c

 

Soal : 7

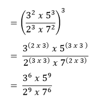
Bentuk sederhana dari

7

 

 

Adalah …

8


 

 


Pembahasan :

8








NB :

bilangan berpangkat jika dipangkatkan lagi, maka selanjutnya pangkat bilangan dikalikan.


Kunci : d

 

Soal : 8

Bentuk baku dari 725.000.000.000 dan 0,000371 berturut – turut adalah …

a.    7,25 x 1011 dan 3,71 x 10 – 5

b.   7,25 x 1010 dan 3,71 x 10 – 5

c.    7,25 x 1010 dan 3,71 x 10 – 4

d.   7,25 x 1011 dan 3,71 x 10 – 4

 

Pembahasan :

ó 725.000.000.000

ó 7,25 x 1011 dan

ó 0,000371

ó 3,71 x 10 – 4

 

Kunci : d


Soal : 9

Diketahui persamaan 5 x – 1 = 125. Nilai x yang memenuhi persamaan tersebut adalah …

a.    2

b.   3

c.    4

d.   5

 

Pembahasan :

ó 5 x – 1 = 125

ó 5 x – 1 = 53

 

NB:

Maka bilangan pokok 5 kita coret saja, sehingga kita peroleh persamaan berikut.

ó x – 1 = 3

ó x = 3 + 1

ó x = 4

 

Kunci : c

 

Soal : 10

Perhatikan data jari – jari planet dan pernyataan berikut.

 

Planet

Jari – jari (km)

Bumi

6,38 x 103

Jupiter

7,15 x 104

Mars

3,40 x 103

Merkurius

2,44 x 103

Neptunus

2,48 x 104

Saturnus

6,03 x 104

Uranus

2,56 x 104

Venus

6,05 x 103

 

(I)       Jari – jari planet Uranus lebih panjang dari pada jari – jari planet Venus.

(II)   Jari – jari planet Mars lebih panjang dari pada jari – jari planet Neptunus.

(III)  Selisih jari – jari planet Merkurius dan Neptunus adalah 400 km

(IV)   Selisih jari – jari planet Jupiter dan Saturnus adalah 11.200 km

Penyataan yang benar adalah …

a.    (I) dan (III)

b.   (I) dan (IV)

c.    (II) dan (III)

d.   (II) dan (IV)

 

Pembahasan :

 

Pernyataan (I)

Jari – jari planet Uranus = 2,56 x 104 km (25.600 km) dan jari – jari planet Venus 6,05 x 103 km (6.050 km). Berarti pernyataan (I) benar.

 

Pernyataan (II)

Jari – jari planet Mars = 3,40 x 103 km (3.400 km) dan jari – jari planet Neptunus = 2,48 x 104 km (24.800 km). Berarti pernyataan (II) salah.

 

Pernyataan (III)

Jari – jari planet Merkurius = 2,44 x 103 km (2.440 km) dan jari – jari planet Neptunus = 2,48 x 104 km (24.800 km). Dan selisih jari – jari antara planet Merkurius dengan Neptunus.

ó = (24.800 – 2.440) km

ó = 22.360 km.

Berarti pernyataan (III) salah.

 

Pernyataan (IV)

Jari – jari planet Jupiter = 7,15 x 104 (71.500 km) dan jari – jari planet Saturnus = 6,03 x 104 km (60.300 km). Maka selisih jari – jari planet Jupiter dengan jari – jari planet Saturnus.

ó = (71.500 – 60.300) km

ó = 11.200 km

Berarti pernyataan (IV) benar.

 

Kunci : b

 

Uraian :

 

Soal : 1

Tentukan hasil operasi bilangan berpangkat berikut.

9

 

 





Pembahasan :

 

Bagian a)

 

ó 5,6 x 106 – 5,0 x 105 + 4 x 5 x 104

ó 56 x 105 – 5 x 105 + 2 x 105

ó (56 – 5 + 2) x 105

ó 53 x 105

ó 5,3 x 106

 

Bagian b)

10

 








 







Bagian c)

11

 







Soal : 2

Tentukan bentuk sederhana dari bentuk pangkat berikut.

13

  





Pembahasan :

  

Bagian a)

14

 

 













Bagian b)


15

















Bagian c)

16

 

 




















10 SOAL KALOR 3

Tahun Pelajaran :
Semester            :
Mata Pelajaran  : IPA – Fisika
Kelas                 : VII – SMP/MTs
Materi Ajar       : Kalor 3 
Hari/tanggal      :
Waktu               :

 

 

Pilihan Berganda

 

Soal : 31
Suatu benda massanya 100 g, kapasitas kalor benda itu 33,6 J /oC. Maka kalor jenis benda tersebut adalah ... (dalam satuan J/KgoC )

a.    0, 336

b.   3, 36

c.    33, 6

d.   336

 

Soal : 32
Banyaknya kalor yang diperlukan oleh suatu zat untuk menaikkan suhunya sebesar 1oC dinamakan sebagai ...

a.    Kalor jenis

b.   Kalor laten

c.    Kapasitas kalor

d.   Tara kalor mekanik

 

Soal : 33
Bunyi azas Black adalah ...

a.    Panas yang diterima tidak tentu

b.   Panas yang diberikan selalu stabil

c.    Panas yang diterima tidak tergantung pada panas yang diberikan.

d.   Dalam suatu sistem tertutup, panas yang diterima oleh zat yang bersuhu rendah 

    sama dengan panas yang diberikan oleh zat yang bersuhu tinggi.

 

Soal : 34
Benda yang melepaskan kalor, suhunya akan ...

a.    Naik

b.   Tetap

c.    Turun

d.   Naik – turun

 

Soal : 35

Satu kilogram air mula – mula suhunya 20oC, kemudian dipanaskan hingga suhunya menjadi 70oC. Jika kalor jenis air adalah 4,2 J /goC, maka banyak kalor yang diterima air ...

a.    210 J

b.   2. 100 J

c.    21. 000 J

d.   210. 000 J

 

Soal : 36
Pakaian yang basah lebih cepat kering  jika dijemur di tempat berangin. Bensin ditangan jika ditiup akan cepat menguap. Kesimpulannya, penguapan dapat dipercepat dengan jalan ...

a.    Memanaskan

b.   Meniupkan udara

c.    Memperluas permukaan

d.   Mengurangi tekanan uap pada permukaan zat cair.

 

Soal : 37

Dua liter air suhunya 40oC dicampurkan dengan 3 liter air yang suhunya 100oC. Maka suhu akhir campuran keduanya adalah ...

a.    100 oC

b.   76 oC

c.    70 oC

d.   40 oC

 

Soal : 38
Air memiliki massa jenis paling besar pada temperatur ...

a.    – 4 oC

b.   0 oC

c.    4 oC

d.   5 oC

 

Soal : 39
Jika air yang kalor jenisnya  1 kkal/KgoC  mempunyai massa 5Kg suhunya dinaikkan 10oC dari semula, maka banyaknya kalor yang diperlukan adalah ...

a.    5 kkal

b.   10 kkal

c.    15 kkal

d.   50 kkal

 

Soal : 40

Perhatikanlah grafik di bawah ini.

GAMBAR SOAL 40










Berdasarkan grafik di atas, banyaknya kalor yang dibutuhkan 5 Kg air dalam proses dari C ke D (kalor jenis air = 4.200 J/KgoC ) adalah ....

a.    210.000 J

b.   420.000 J

c.    21 000.000 J

d.   42 000.000 J