google-site-verification=ne6G5Vr6nbD8EHcN8bwnfb0Wd2QIbpMNrb27Dl6jG4o SERI - 10 SOAL DAN PEMBAHASAN OSN FISIKA SMA ~ ULIMORANGKIR

SERI - 10 SOAL DAN PEMBAHASAN OSN FISIKA SMA

Soal nomor : 01 ( 8 point )

Sebuah benda A dapat bergerak tanpa gesekan sepanjang kawat 
berbentuk parabola yang memenuhi persamaan y = ax2 dengan x 
adalah jarak horizontal dari sumbu simetri kawat, dan y adalah tinggi 
benda dari titik terendah kawat. 


Jika kawat ini diputar dengan kecepatan sudut ω dengan 
sumbu y sebagai porosnya, tentukan nilai ω ( dalam g dan a ) 
supaya terdapat posisi kestimbangan stabil.

Pembahasan :
 
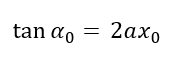
Tinjau benda dan buat titik koordinatnya A(x0 , y0


Saat awal, t0 = 0 dan bola diam pada posisi A (x0, y0).



Karena saat awal, maka tan α dapat 
kita tuliskan menjadi, 


Selanjutnya kita menggunakan persamaan trigonometri, 


Saat bola mengalami sedikit gangguan kesetimbangan, 
dan posisinya berubah menjadi A’(xo’ , y0’ ). 



Dimana saat itu terjadi simpangan kecil (δx(t) ,δy(t )) dan garis 
singgung benda dengan alasnya pun akan mengalami perubahan. 


Catatan : karena simpangannya sangat kecil, 




Percepatan tangensial bola,

Catatan : percepatan merupakan turunan kedua dari simpangan. 

(ingat materi pembelajaran GHS). 

Sehingga, 





Gaya yang bekerja, 



Massa m yang ada pada ruas kiri dan kanan kita coret.


Subsitusikan persamaan (9) ke dalam persamaan (11).



Agar bola menjadi tetap setimbang di koordinatnya (x0 , y0 ). 
Medium harus memiliki kecepatan sudut, 


Demikianlah pembahasan soal latihan olimpiade Fisika 
untuk tingkatan SMA. Sampai bertemu pada pembahasan 
latihan olimpiade berikut, terima kasih. 



0 comments:

Posting Komentar

Silahkan Berkomentar dengan Bijak sesuai dengan semangat kemajuan yang membangun Blog ini dan Jangan keluar dari topik