1. Alat untuk mengukur gaya adalah …
A. Neraca
B. Dinamometer
C. Manometer
D. Spidometer
Penyelesaian :
Alat ukur gaya disebut Neraca Pegas
(Dinamometer),
jika neraca ini sama saja dengan timbangan
( Kunci
: B )
2. Gaya
adalah suatu besaran yang selain memiliki besar
juga memiliki arah. Besaran
seperti ini termasuk …
A. Besaran
pokok
B. Besaran
turunan
C. Besaran
skalar
D. Besaran
vektor
Penyelesaian :
Besaran vektor = besaran fisika yang
memiliki besar dan arah.
Contoh vektor :
- Perpindahan
- Kecepatan
- Percepatan
- Gaya
- Dan lain – lain
Besaran skalar = besaran fisika yang
hanya memiliki besar dan
tidak ada arah.
Contoh skalar :
- Massa
- Suhu
- Jarak
- Dan lain – lain
( Kunci
: D )
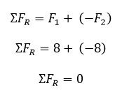
dan 8 N ke kiri bekerja segaris, maka resultan kedua gaya
tersebut adalah …
A. 16 N
B. Nol
C. 8 N ke kanan
D. 8 N ke kiri
( Kunci
: D )
sebesar bagi sebuah kereta troli. Dengan percepatan yang sama
digunakan untuk mendorong 3 buah troli yang bersifat identik,
maka gaya yang dibutuhkan adalah…
A. 2P
B. 3P
C. 4P
D. 6P


6. Sebuah pesawat terbang jenis Concorde yang memiliki
Penyelesaian :
( Kunci
: B )
empat mesin memiliki massa total 180 000 kg pada saat
posisi take – off. Percepatan pada saat take – off adalah
3,6 m/s2,maka gaya take – off yang dihasilkan
tiap mesinnya adalah …
A. 112 500 N
B. 152 000 N
C. 162 000 N
D. 180 000 N
Penyelesaian :


7. Massa seorang anak laki – laki yang beratnya 441 N
Gaya tiap mesin, F1 :
( Kunci
: C )
adalah …
A. 43 kg
B. 44 kg
C. 45 kg
D. 46 kg
Penyelesaian :
Gaya berat, w :
( Kunci
: C )
Bulan percepatan bumi. Massa sebuah buku tebal di Bumi
adalah 2,4 kg.Dan buku tebal tersebut di bawa ke Bulan,
maka massa buku tersebut di Bulan…
A. 0,4 kg
B. 0,8 kg
C. 1,2 kg
D. 2,4 kg
Penyelesaian :
9. Penerjun payung meloncat dari pesawat terbang dan jatuh
( Kunci
: D )
dengan cepat sebelum membuka parasutnya. Ketika penerjun
membuka parasutnya, gerak jatuh penerjun makin melambat.
Ini disebabkan oleh …
A. Makin ke bawah, makin besar gaya gesekan udara pada
penerjun
B. Gaya gesekkan udara pada penerjun bertambah besar dengan
membentangnya parasut.
C. Makin ke bawah, makin besar gaya ke atas yang dikerjakan udara
pada penerjun
D. Makin ke bawah, makin kecil gaya gravitasi yang bekerja pada
penerjun
Penyelesaian :
Jika parasut sudah terbentang, maka gaya gesekkan
Penyelesaian :
Jika parasut sudah terbentang, maka gaya gesekkan
udara terhadap penerjun makin besar.
( Kunci
: B )
10. Ikan
lumba – lumba dapat bergerak lincah di dalam air
karena…
A.Memiliki
sirip yang kuat
B.Memiliki
tubuh yang kuat
C.Memiliki
tubuh yang ringan
D.Bentuk
tubuhnya streamline
( Kunci : D )






0 comments:
Posting Komentar
Silahkan Berkomentar dengan Bijak sesuai dengan semangat kemajuan yang membangun Blog ini dan Jangan keluar dari topik