Soal : 1
Sebuah
benda netral elektronnya berpindah ke benda lain. Benda tersebut akan bermuatan
....
a.
nol
b.
netral
c.
positip
d.
negatip
Kunci
: C
Penjelasan
:
Benda dalam keadaan netral, berarti
benda tersebut memiliki jumlah muatan positip dengan jumlah muatan negatipnya sama. Dan jika ada muatan negatip dari benda tersebut berpindah, maka jumlah
muatan negatipnya < dari pada jumlah muatan positipnya. Sehingga benda
tersebut akan menjadi benda yang bermuatan positip.
Gambar 1.a di bawah ini menjelaskan,
awalnya dua buah benda bermuatan netral didekatkan. Kemudian kedua benda digosok, akibat gosokan tersebut suhu permukaan benda yang bersentuhan/bersinggungan akan bertambah. Lalu memberikan energi tambahan
terhadap muatan partikel. Permukaan benda yang lebih dahulu
mengalami kenaikan suhu yang besar akan mendistribusikannya terhadap muatan
partikel benda. Yang selanjutnya membuka peluang elektron dapat berpindah dengan mudah.
Gambar 1.b di bawah ini menjelaskan,
posisi akhir setelah kedua benda tidak lagi melepas atau menerima elektron.
Benda yang di sebelah kanan berlebih elektron, sebaliknya benda yang di kiri menjadi kelebihan proton.
Soal : 2
Pemisahan
muatan pada sebuah benda karena didekati benda lain yang bermuatan disebut
...
a.
induksi
b.
konduksi
c.
elektrostatis
d.
elektrodinamis
Kunci : A
Penjelasan :
Perpindahan muatan dapat dilakukan
dengan 3 metode/cara, yakni :
·
metode
menggosok
·
metode
konduksi
·
metode
induksi
Soal : 3
Dua
bola X dan Y bermuatan listrik dihubungkan seperti gambar di bawah.
Aliran elektron
yang terjadi adalah .........
a.
X
ke Y sehingga X dan Y menjadi 3 C
b.
X
ke Y sehingga X menjadi 2 C
c.
Y
ke X sehingga X dan Y menjadi 3 C
d.
Y
ke X sehingga X dan Y menjadi 4
Kunci : C
Penjelasan :
Benda X (bermuatan +4) dan benda
Y(bermuatan +2), benda X lebih positip dibanding benda Y. Sebaliknya benda Y
lebih negatip dibanding benda X. perlu diingat, partikel yang bebas bergerak
hanyalah elektron, maka aliran elektron akan bergerak dari Y menuju X.
Soal : 4
Dua
buah muatan A dan B saling didekatkan. Setelah dekat, keduanya ternyata saling menolak. Hal yang mungkin dari kedua muatan tersebut yaitu ........
a.
muatan
A dan B positip
b.
muatan
A positif, muatan B negatip
c.
muatan
A negatip, muatan B positip
d.
muatan
A netral, muatan B positip
Kunci : A
Penjelasan :
Muatan sejenis akan tolak – menolak dan
muatan berlainan jenis akan tarik menarik.
Soal : 5
Satuan
muatan listrik dalam satuan SI adalah .......
a.
volt
b.
joule
c.
ampere
d.
coulomb
Kunci : D
Penjelasan :-
Soal : 6
Sehelai
sutera digunakan untuk menggosok sebatang kaca menjadi bermuatan positip. Hal
ini dapat terjadi karena ........
a.
elektron
dari sutra berpindah ke kaca
b.
proton
dari kaca pindah ke kaca
c.
elektron
dari kaca berpindah ke sutra
d.
proton
dari kaca berpindah ke sutra
Kunci : C
Penjelasan :
Debu (muatan elektron) yang menempel
pada kaca, jika digosok dengan kain sutera. Elektron yang menempel pada kaca akan menempel pada kain sutera, sehingga batang kaca makin kinclong
(mengkilap).
Soal : 7
Suatu
percobaan dengan menggunakan alat dan bahan seperti gambar berikut ini.
Setelah digosok
berulang kali dengan kain tersebut, penggaris plastik dapat menarik serpihan
kertas kecil seperti pada gambar II. Hal ini membuktikan bahwa penggaris
tersebut bermuatan listrik ..........
a. positif,
karena telah melepaskan sebahagian elektronnya
b. positip,
karena jumlah proton dalam inti atom bertambah
c. negatip,
karena telah menerima beberapa elektron dari
kain
d. negatip,
karena jumlah elektron pada orbit terluar
berkurang
Kunci : C
Penjelasan :
Setelah mistar penggaris digosok dengan
kain wol/rambut kering, sejumlah elektron akan berpindah ke penggaris plastik. Menyebabkan penggaris plastik menjadi bermuatan negatip. Dan akhirnya dapat
menarik potongan – potongan kertas.
Soal : 8
Jarak
dua muatan yang diperpendek menyebabkan gaya coulomb ........
a. semakin
besar
b. semakin
kecil
c. tidak
berubah
d.tetap
Kunci : A
Penjelasan :
Hukum Coulomb dirumuskan sebagai berikut
Arti fisis rumus : asumsikan kedua benda
bermuatan tidak mengalami perubahan. Gaya akan berbanding terbalik dengan
kudrat jarak pisah kedua muatan. Sehingga jika jarak semakin diperpendek, maka
gaya coulombnya makin besar dan sebaliknya jika jarak kedua benda diperbesar
maka gaya coulombnya makin kecil.
Soal : 9
Benda
A menolak benda B, benda B menarik benda C, dan benda C menarik benda D. Jika
benda D bermuatan negatip, maka muatan benda-benda tersebut ........
a.
A
+ , B - , C +
b.
A
+ , B + , C -
c.
A
- , B - , C +
d.
A
+ , B - , C –
Kunci : C
Penjelasan :
Soal : 10
Beberapa
benda sering kita jumpai disekitar kita.
1. udara
2. besi
3. plastik
4. karet
5. tembaga
Benda yang
termasuk isolator listrik ditunjukkan oleh ....
a.
1,
2, dan 3
b.
1,
3, dan 4
c.
2,
3, dan 4
d.
2,
3, dan 5
Soal : 11
Dua
muatan tarik-menarik dengan gaya 150 µN.Ketika kedua muatan ini dijauhkan hingga jarak pisahnya menjadi 20 mm, gaya tarik kedua muatan menjadi 6 µN. Jarak pisah awal kedua muatan adalah .......
a.
2
mm
b.
4
mm
c.
5
mm
d.
10
mm
Kunci : B
Penjelasan :
Diketahui
:
Soal : 12
Suatu
muatan Q mengerjakan gaya 28 N pada muatan lain q. Jika jarak antara kedua
muatan digandakan, besar gaya yang dikerjakan pada Q oleh q adalah .....
a.
7
N
b.
14
N
c.
56
N
d.
112
N
Kunci : A
Penjelasan :
Soal : 13
Untuk
memindahkan 3 C muatan listrik dari suatu titik ke titik yang lainnya misalkan X ke Y diperlukan energi 45 joule. Besar beda potensial listrik antara X dan Y adalah...
a.
15
V
b.
42
V
c.
135
V
d.
10
V
Kunci : A
Penjelasan :
Diketahui,
Soal : 14
Energi
listrik yang diperlukan untuk memindahkan muatan 25 C antara 2 titik ialah 150
J. Besar beda potensial antara kedua titik .....
a.
2
V
b.
4
V
c.
6
V
d.
8
V
Kunci : C
Pembahasan :
Soal : 15
Muatan
listrik sebesar 60 µC hendak dibawa dari suatu titik ke titik yang lain yang mempunyai beda potensial 100 V. Besar usaha yang dilakukan adalah ....
a.
0,6
J
b.
0,06
J
c.
0,006
J
d.
0,0006
J
Kunci : C
Penjelasan :
Diketahui,
Soal : 16
Muatan
listrik sebesar 5 C bergerak antara 2 buah titik yang mempunyai beda potensial
2 V. Besar energi yang dilepaskan adalah ........
a.
2
J
b.
4
J
c.
8
J
d.
10
J
Kunci : D
Soal : 17
Berapa
energi yang diperlukan untuk memindahkan muatan listrik 25 C antara 2 buah
titik yang mempunyai beda potensial 4 V
?
a.
10
J
b.
20
J
c.
50
J
d.
100
J
Kunci : D
Soal : 18
Seseorang
sedang berada di dalam sebuah tangki besi yang bagian atasnya terbuka. Orang
itu memakai sepatu dan sedang mengecat dinding tangki bagian dalam. Tiba-tiba
petir menyambar tangki itu, yang paling mungkin terjadi adalah ……
a. orang
itu tersambar petir karena tangki tersebut
tersambar petir.
b. orang
itu tersambar petir karena sedang mengecat.
c. orang
itu tidak tersambar petir karena muatan listrik petir
hanya adal di bagian luar
tangki.
d. orang
itu tidak tersambar petir karena tubuh manusia
bersifat isolator.
Kunci : C
Penjelasan :
Dari soal, jelas tangki berbahan logam (besi) merupakan
konduktor. Kemudian tangki berbentuk silinder dengan bagian dalamnya berongga.
Serta tinggi tangki lebih tinggi dari tinggi orang (pekerja yang sedang
mengecat bagian dalam tangki). Dan pekerja juga menggunakan sepatu, sehingga
tidak langsung kontak dengan besi. Saat terjadi sambaran petir, maka bagian yang lebih tinggi yang
terlebih dahulu dihantam petir. Dan yang lebih tinggi itu adalah tangki.
Kemudian tangki berongga, maka muatan listrik akan berada di bagian luar
permukaan benda berongga. Sehingga dapat disimpulkan, pekerja akan tetap
selamat. Tetapi pekerjaannya yang sedang mengecat akan sedikit terganggu.
Soal : 19
Sebuah
elektroskop diberi muatan negatip. Apabila didekati oleh benda yang bermuatan
negatip, daun-daun elektroskop akan …
a.
makin
membuka.
b.
makin
menutup.
c.
tetap
seperti semula.
d.
menjadi
netral.
Kunci : A
Penjelasan :
Elektroskop yang diberi muatan negatip akan bermuatan negatip
pada seluruh bagian elektroskop. Elektroskop yang seperti ini disebut dengan
elektroskop elektron.Kemudian benda bermuatan negatip didekatkan ke elektroskop, maka
daun (leef-gold) dari elektroskop makin mekar.
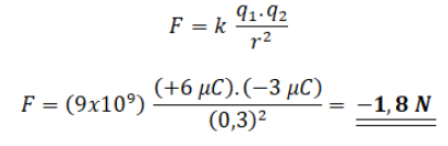
Soal : 20
Dua buah benda
yang bermuatan listrik + 6μC dan – 3μC terpisah
pada jarak 30 cm. Besar gaya tarik – menarik yang bekerja pada kedua benda
tersebut adalah …
a. 0,18
N
b. 0,54
N
c. 1,8
N
d. 5,4
N
kunci : c
Pembahasan :
BACA JUGA : 10 Soal Listrik Statis - 9 (SMP)














0 comments:
Posting Komentar
Silahkan Berkomentar dengan Bijak sesuai dengan semangat kemajuan yang membangun Blog ini dan Jangan keluar dari topik