google-site-verification=ne6G5Vr6nbD8EHcN8bwnfb0Wd2QIbpMNrb27Dl6jG4o PERTEMUAN - 3 CAHAYA ~ ULIMORANGKIR

PERTEMUAN - 3 CAHAYA

 Selamat datang di blog saya dan salam sehat selalu, 
Pada kesempatan kali ini, saya berbagi materi ajar tentang cahaya untuk siswa kelas VIII SMP. Bapak / ibu guru yang ingin menyiapkan materi ajar dapat mendownloadnya, atau jika bapak / ibu guru yang melihat blog ini. Ingin memasukkan saran, silahkan tinggalkan pesan di kolom komentar.

Penyampaian materi, memang saya design berseri dalam bentuk PERTEMUAN, sesuai dengan jumlah jam yang tersedia. Dan materi yang tersaji telah saya rangkum dari sejumlah buku pelajaran fisika yang ada, dan dari buku fisika yang saya gunakan untuk melatih calon peserta lomba sains. Baik untuk level tingkatan SMP maupun SMA.
Akhir kata saya mengucapkan terima kasih.



Sifat bayangan yang dihasilkan Cermin Datar : 
a) Maya ( Tidak dapat ditangkap oleh layar )
b) Bayangan yang dihasilkan memiliki ukuran yang sama dengan ukuran bendanya. 
            ( M = 1 ) 
c) Tegak 
d) Menghadap terbalik dengan bendanya
e) Jarak bayangan benda terhadap cermin datar sama dengan jarak benda terhadap
            cermin. (s= -s')

Berikut beberapa contoh bayangan yang dihasilkan oleh cermin datar. 

Pembalikan bayangan pada cermin datar terlihat lebih jelas jika anda menuliskan beberapa kata di bawah ini. Kemudian bawa menghadap cermin datar, anda akan melihat hasilnya sangat menakjubkan. Berikut tulisan yang dapat anda coba :

·        ARGENTINA

·        AMBULANCE

·        NABABAN

·        Dan lain sebagainya 


Gambar 2c, menjelaskan tampilan pemantulan oleh cermin datar untuk sebuah jam dinding. Jam dinding menunjukkan pukul 01.25 waktu setempat. Namun bayangan jam dinding menunjukkan pukul 10.35 waktu setempat (lokal). 


Contoh 01

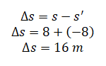
Seorang anak berdiri 8,0 meter di depan sebuah cermin datar yang besar. Kemudian dia berjalan 2,0 m ke arah cermin, maka jarang anak terhadap bayangannya :

a)    Sebelum anak berjalan menuju cermin

b)    Setelah anak berjalan menuju cermin


Pembahasan :

 

Bagian a) Sebelum anak berjalan menuju cermin datar 



Bagian b) saat anak berjalan menuju cermin datar 


Tabel : Sudut istimewa 


Jumlah bayangan oleh cermin datar 



Demikianlah sajian materi kali ini, pada PERTEMUAN - 3, terima kasih sudah berkunjung ke blog saya.

0 comments:

Posting Komentar

Silahkan Berkomentar dengan Bijak sesuai dengan semangat kemajuan yang membangun Blog ini dan Jangan keluar dari topik