Gerak Melingkar Beraturan (GMB)
Soal :
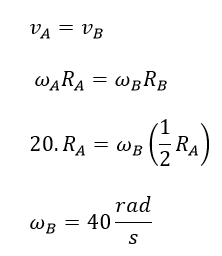
Dua buah roda A dan B saling bersinggungan. Jika kecepatan sudut roda A adalah
20 rad/s dan jari – jari roda B adalah setengah jari – jari roda A. Maka
kecepatan sudut roda B adalah … rad/s.
A. 5
B. 10
C. 20
D. 30
E. 40
Pembahasan :
Kunci : E






0 comments:
Posting Komentar
Silahkan Berkomentar dengan Bijak sesuai dengan semangat kemajuan yang membangun Blog ini dan Jangan keluar dari topik