google-site-verification=ne6G5Vr6nbD8EHcN8bwnfb0Wd2QIbpMNrb27Dl6jG4o SERI 6 OSN SMA ~ ULIMORANGKIR

SERI 6 OSN SMA

Soal : 06

Tentukan percepatan masing – masing benda yang ditunjukkan pada gambar di bawah ini.


Jika nilai m1, m2 dan Ɵ diberikan serta abaikan gesekan.

 
Pembahasan :

Tinjau vektor percepatan, 


Gunakan prinsip kesimetrisan gambar, 


Tinjau benda m2 pada sumbu y, 


Tinjau benda m1 pada sumbu x, 


Akibat pengaruh gaya berat benda m2 benda m1 bergerak ke kiri


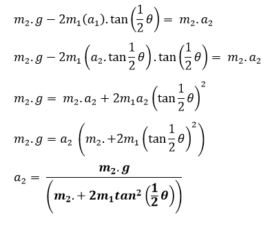
Subsitusikan persamaan (3) ke persamaan (2), 


Kedua ruas kiri dan kanan kita kalikan dengan 2


Subsitusikan persamaan (1) ke persamaan (5) 


Selanjutnya kita menghitung percepatan benda a1 :



 

0 comments:

Posting Komentar

Silahkan Berkomentar dengan Bijak sesuai dengan semangat kemajuan yang membangun Blog ini dan Jangan keluar dari topik