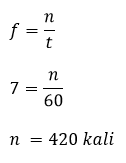
A. 160 B. 360 C. 420 D. 540 Pembahasan : Diketahui, Frekuensi ayunan, f = 7 Hz Waktu ayunan, t = 1 menit = 60 s Ditanya, Banyak ayunan, n = … ? Peny :02.Sebuah ayunan harmonis bergetar dengan frekuensi 7 Hz. Dalam waktu 1 menit ayunan tersebut berayun sebanyak ........ kali. Kunci : C
SERI 32 GETARAN DAN GELOMBANG
Langganan:
Posting Komentar (Atom)






0 comments:
Posting Komentar
Silahkan Berkomentar dengan Bijak sesuai dengan semangat kemajuan yang membangun Blog ini dan Jangan keluar dari topik