Soal : 4
Perhatikan gambar di bawah ini.
Agar sistem seimbang, besar massa benda m adalah .........
A. 100√3 Kg
B. 100√2 Kg
C. 100 kg
D. 100/√3 Kg
E. 100/√2 Kg
Pembahasan :
Tinjau titik A,
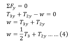
Sumbu y :
Sumbu x :
google-site-verification=ne6G5Vr6nbD8EHcN8bwnfb0Wd2QIbpMNrb27Dl6jG4o
Dokumentasi saya sebagai guru dan guru private, mengajar dan pengalaman lainnya diluar kegiatan mengajar
Soal : 4
Perhatikan gambar di bawah ini.
Agar sistem seimbang, besar massa benda m adalah .........
A. 100√3 Kg
B. 100√2 Kg
C. 100 kg
D. 100/√3 Kg
E. 100/√2 Kg
Pembahasan :
Tinjau titik A,
Sumbu y :
Sumbu x :
Tinjau titik B,
Sumbu x :
Sumbu y :
Dengan mensubsitusikan pers (1) ke dalam pers. (4)
Selanjutnya kita subsitusikan pers (2) dan pers (3)
Dengan mensubsitusikan pers (6) ke dalam pers (5),
Kita akan memperoleh nilai m benda tersebut.
Kunci : C
0 comments:
Posting Komentar
Silahkan Berkomentar dengan Bijak sesuai dengan semangat kemajuan yang membangun Blog ini dan Jangan keluar dari topik