Daftar Isi :
1. Akar bersusun dan tak berhingga
2. Akar di dalam akar yang tak berhingga
Pengoperasian bentuk akar tidak asing lagi di dalam
Matematika, seperti contoh :
·
√4 = …
·
√9 = …
· √0,125 = …
· √x2 = …
Lalu yang menjadi pertanyaan,
bagaimana menyelesaikan bentuk akar yang
bersusun dan tak berhingga.
Atau bagaimana menyelesaikan akar
di dalam akar yang
tak berhingga dengan pola yang sama dan terus menerus.
Contoh : 1
(akar di dalam akar dengan pola tertentu)
Nilai dari
adalah ….
Pembahasan :
Misalkan,
sehingga :
Lalu kita pangkat tiga-kan ruas kiri dan kanan.
Untuk menghilangkan tanda akar kuadrat,
kedua ruas
kiri dan kanan kita kuadratkan.
Terakhir, kedua ruas kiri dan kanan sama – sama
kita
bagi n. Sehingga kita akan memperoleh hasil
akhirnya.
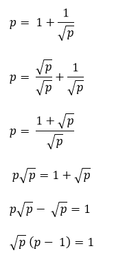
Contoh : 2
Tentukan hasil bilangan yang dihasilkan berbentuk
bulat atau bukan dari nilai
Pembahasan :
Sehingga kita peroleh :
Terlihat hasil perkalian akar P dengan (P – 1)
sama
dengan 1. Dapat disimpulkan p bukan
merupakan bilangan bulat.
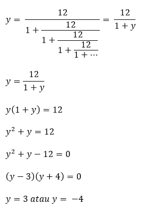
Contoh : 3
Pembahasan :
Dan,
Sehingga untuk nilai y = 3 atau y = - 4
Terima kasih






0 comments:
Posting Komentar
Silahkan Berkomentar dengan Bijak sesuai dengan semangat kemajuan yang membangun Blog ini dan Jangan keluar dari topik