Soal OSN 2006
Sebuah bola massa 2m bergerak dengan kelajuan v
menumbuk secara elastisitas bola lain yang diam bermassa m. Setelah tumbukkan,
kedua bola terhambur dengan sudut yang sama besar terhadap mula – mula (lihat
gambar).
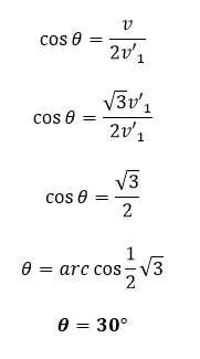
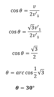
Tentukan besar sudut θ.
Pembahasan :
Dari gambaran soal, peristiwa momentum berlangsung
dalam dua dimensi.
Momentum awal,
P1 :
Benda m2 awalnya diam (v2 = 0).
Momentum akhir, P2 :
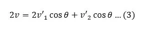
Hukum kekekalan momentum, P1 = P2 :
Sumbu – x
Kedua ruas kiri dan kanan sama – sama kita bagi m.
Sumbu – y
Kedua ruas kiri dan kanan kita bagi dengan m.sin θ
sehingga berlaku hukum kekekalan energi.
Subsitsikan persamaan (7) ke dalam persamaan (5)
pun kritik mohon tinggalkan dikolom komentar. 🙏






0 comments:
Posting Komentar
Silahkan Berkomentar dengan Bijak sesuai dengan semangat kemajuan yang membangun Blog ini dan Jangan keluar dari topik