Soal :
Perhatikan gambar rangkaian berikut ini,
Arus yang mengalir pada hambatan 6Ω adalah …
A.
0,33 A
B.
0,50 A
C.
1,00 A
D.
1,22 A
E.
3,01 A
Pembahasan
Hambatan paralel 3Ω dan 6Ω,
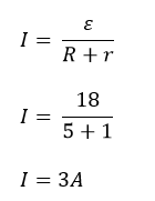
Kuat arus listrik, I :
Maka kuat arus yang melalui hambatan 6Ω :
Kunci : C






0 comments:
Posting Komentar
Silahkan Berkomentar dengan Bijak sesuai dengan semangat kemajuan yang membangun Blog ini dan Jangan keluar dari topik