DAFTAR ISI :
1. TEORI
2.1. Gaya sejajar bidang
datar
2.2. Gaya membentuk sudut
2.3. Gaya menggunakan katrol
2.4. Gaya pada bidang
miring
2.5. Gaya kontak dua benda
1. TEORI
Dinamika
Gerak melibatkan gaya gesek dalam beberapa kasus gerak dinamika, variasi
menentukan nilai gaya normal, gaya kontak dan penguraian gaya – gaya.
Hukum
Newton I
ΣF = 0
Berarti benda dalam
fg = N. μ
gesekan antara benda dapat terjadi saat diam atau bergerak dengan kecepatan tetap fs (fs = N.μs ). Dan gesekan antara benda dapat juga terjadi tatkala sedang bergerak fk ( fk = N.μk ).
Koefisien gesekan μ merupakan tingkat kekasaran permukaan yang bersinggungan langsung. Bernilai antara nol hingga kurang dari satu ( 0 ≤ μ < 1). Perlu diingat selalu μs > μk, dan jika μ = 0 itu artinya bidang yang bersinggungan sangat licin. Serta tidak akan pernah nilai koefisien gesekan sama dengan 1 (μ ≠ 1).
2. CONTOH SOAL
Contoh : 1
Perhatikan gambar berikut ini.
Benda bermass m = 10 kg berada di atas lantai yang kasar kemudian ditarik dengan gaya F = 12N ke arah kanan. Jika koefisien gesekan statis antara benda dan lantai adalah 0,2 dan koefisien gesekan kinetis 0,1. Tentukan :
a) Gaya normal
b) Gaya gesek antara
benda dan lantai
c) Percepatan gerak
benda
Pembahasan :
Bagian b)
Gaya
gesek antara benda dengan lantai, f :
Gaya
gesek statis, fs :
Gaya
gesek kinetis, fk :
Bagian c)
Untuk
menentukan percepatan benda, kita tinjau
gaya – gaya yang bekerja pada sumbu x. Dan kita dapati F < fs
( F = 12 N dan fs = 20N), berarti benda masih dalam keadaan diam.
Lalu kita simpulkan benda tidak bergerak a = 0.
Contoh : 2
Perhatikan
gambar berikut!
Awalnya
benda diam, kemudian diberikan gaya F yang arahnya ke kanan. Jika koefisien
gesekan antara permukaan lantai dengan bagian bawah benda secara berturut –
turut 0,2 dan 0,1. Maka tentukan :
a) Gaya normal
b) Gaya gesek antara benda
dengan lantai
c) Percepatan benda
d) Jarak benda setelah 2
sekon
Pembahasan :
Bagian a)
Tinjau sumbu y,
Bagian b)
Gaya
gesek antara benda dengan lantai, f :
Gaya
gesek statis, fs :
Gaya gesek kinetis, fk :
Bagian c)
Dari
nilai gaya gesek yang kita peroleh dari bagian b), kemudian bandingkan F dengan
gaya gesek benda. F = 25 N dan fk = 10N serta fs = 20 N,
F > fs berarti benda bergerak dari diamnya.
Bagian d)
Contoh : 3
Perhatikan gambar di bawah ini,
Sebuah benda bermassa 10 kg, mula – mula dalam keadaan diam. Jika sudut yang terbentuk antara gaya F = 25N dengan garis mendatar adalah 370. Dan koefisien gesek kinetis permukaan lantai adalah 0,1 dan percepatan gravitasi bumi g = 10 m.s – 2 .
a) Gaya Normal
b) Gaya gesek
c) Percepatan gerak benda
(jika sin 370 = 0,6 dan cos 370
= 0,8)
Pembahasan :
Bagian a)
Bagian b)
Besar gaya gesek kinetis, fk :
Bagian c)
Percepatan
benda, ax :
Contoh : 4
Perhatikan gambar berikut!
Sebuah benda bermassa 100 kg dilepaskan dari puncak bidang miring dari keadaan diam. Koefisien gesek bidang miring 0,125 dan percepatan gravitasi bumi g = 10 m.s- 2 serta sin 530 = 0,8 dan cos 530 = 0,6.
a) Besar gaya normal pada
balok
b) Gaya gesek antara balok
dengan bidang miring
c) Besar percepatan balok
Pembahasan :
Bagian a)
Besar gaya normal, N :
Bagian b)
Besar
gaya gesek, fk :
Bagian c)
Contoh : 5
Balok
A bermassa 40 kg dan balok B bermassa 20 kg berada di atas permukaan licin yang
datar. Kemudian balok A dikenai gaya F sebesar 120 N, seperti gambar berikut.
Tentukan
:
a) Percepatan gerak kedua
balok
b) Gaya kontak antara
balok A dan B
Pembahasan :
Bagian a)
Asumsikan
kedua balok A dan B merupakan suatu sistem.
Bagian b)
Contoh : 6
Balok A dan B terletak pada permukaan bidang miring didorong oleh gaya F sebesar 480N seperti gambar berikut ini.
Tentukan
:
a) Percepatan gerak kedua
balok
b) Gaya kontak antara
balok A dan B
Pembahasan :
Bagian a)
Untuk menghitung besar
percepatan benda, lukiskan terlebih dahulu semua gaya yang bekerja. Kemudian
perhatikan dari soal, tidak ada disebutkan koefisien gesekan. Itu berarti gaya
gesek dapat kita abaikan.
Bagian b)
Untuk
menentukan gaya kontak antara balok A dan B (FAB), mari kita gambar
ulang gaya – gaya yang bekerja.
Contoh : 7 (UMPTN 1993)
Perhatikan gambar berikut!
Balok A beratnya 100N diikat dengan tali mendatar di titik C. Balok B beratnya 500N, koefisien gesekan antara A dan B sama dengan 0,2 dan koefisien antara B dengan lantai sama dengan 0,5. Maka besarnya gaya F minimal untuk menggeser balok B.
A. 950 N D. 320 N
B. 750 N E. 100 N
C. 600 N
Pembahasan :
Contoh : 8
Benda pertama dengan massa m1 = 6 kg dan benda kedua bermassa m2 = 4 kg dihubungkan dengan katrol seperti gambar di bawah ini.
a) Percepatan benda
pertama
b) Percepatan benda kedua
c) Tegangan tali T
Pembahasan :
Bagian a)
Tinjau benda m1 :
Sebagai catatan,
(1) Lantai licin, berarti
tidak akan ada gaya gesek
(2) Percepatan kedua benda
a1 = 2a2.
Bagian b)
Menentukan
percepatan benda m2.
Bagian c)
Untuk
menentukan besar tegangan tali (T), cukup memilih salah satu persamaan (1) atau
(2).
Contoh : 9
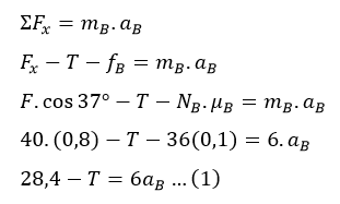
Massa A = 4 kg dan massa B = 6 kg dihubungkan dengan tali dan ditarik dengan gaya F = 40N ke kanan dengan sudut 370 terhadap horizontal. (cos 370 = 0,8 dan sin 370 = 0,6).
Jika koefisien gesek kinetis kedua benda dengan lantai 0,1.
a) Percepatan gerak kedua
benda.
b) Tegangan tali
penghubung kedua benda A dan B.
Pembahasan :
Bagian a)
Tinjau benda B dan lukiskan gaya – gaya yang bekerja pada benda B.
Tinjau gaya pada sumbu y :
Tinjau gaya pada sumbu x :
Tinjau benda A :
Tinjau gaya – gaya pada sumbu y
Tinjau gaya – gaya pada sumbu x
Ketika benda B bergerak, maka benda A juga spontan ikut bergerak. Itu berarti percepatan aA = aB , lalu kita asumsikan besarnya sama (aA = aB = a).
Bagian b)
Untuk menentukan nilai tegangan T, maka kita substitusikan nilai a ke salah satu persamaan (1) atau (2).
Contoh : 10
Perhatikan gambar berikut!
Jika massa tali dan katrol diabaikan serta bidang miringnya licin. Tentukan :
a) Percepatan gerak kedua
benda
b) Tegangan tali
penghubung kedua benda
Pembahasan :
Dengan asumsi kedua benda A dan B merupakan suatu sistem. Sehingga sistem akan bergerak ke arah benda B, sebab mB > mA. Dan kedua sisi bidang miring licin, maka gaya gesek pada kedua bidang miringnya dapat kita abaikan.
Bagian a)
Tinjau benda B,
Tinjau benda A,
Lalu kedua persamaan kita substitusikan saja.
Bagian b)
Perhatikan gambar di bawah ini.
Massa balok A = 6 kg, massa balok B = 4 kg dan koefisien gesekan kinetis antara balok A dengan B sama dengan 0,1. Koefisien gesekan antara balok A dengan lantai sama dengan 0,2. Tentukan besar gaya F agar balok A bergerak lurus beraturan ke kanan, abaikan massa katrol dan tali.
Pembahasan :
Tinjau benda B
Tinjau benda secara keseluruhan AB,
Contoh : 12
Sebuah
elevator bermassa 400 kg bergerak vertikal ke atas dari keadaan diam dengan
percepatan tetap 2 m.s – 2. Jika percepatan gravitasi g = 9,8 m.s
– 2 , maka tegangan tali penarik elevator adalah …
A. 400 N D. 3 920 N
B. 800 N E. 4 720 N
C. 3 120
Perhatikan gambar di bawah ini.
Koefisien gesekan kinetis antara massa pertama dengan lantai 0,1. Massa benda pertama 4 kg dan massa kedua 6 kg, tentukan :
a) Percepatan gerak benda
pertama
b) Percepatan gerak benda
kedua
Pembahasan :
Bagian a)
Dari gambar terlihat m2 > m1 maka sistem akan bergerak searah benda m2.
Karena a1 = 2a2 , lalu substitusikan pers (1) ke dalam pers (2).
Bagian b)
Contoh : 14
Balok m bermassa 10 kg menempel pada dinding kasar dengan koefisien gesekan kinetis 0,1. Balok mendapat gaya horizontal F2 = 50 N dan gaya vertikal F1.
Tentukan besar gaya F1 agar balok bergerak vertikal ke atas dengan percepatan 2 m/s2.
Pembahasan :
Contoh : 15 (UM UGM 2009)
Benda bermassa 4 kg diberi kecepatan awal 10 m/s dari ujung bidang miring seperti ditunjukkan pada gambar di bawah ini.
Benda mengalami gaya gesek dari bidang sebesar 16N dan sin α = 0,85. Benda berhenti setelah menempuh jarak …
A. 3 meter D. 6 meter
B. 4 meter E. 8 meter
C. 5 meter
Pembahasan :
Benda menaiki bidang miring,
Karena F = 0,
Kunci : B






0 comments:
Posting Komentar
Silahkan Berkomentar dengan Bijak sesuai dengan semangat kemajuan yang membangun Blog ini dan Jangan keluar dari topik