SERI - 4 SOAL DAN PEMBAHASAN CAHAYA

 

 

Nomor : 01

Seorang siswa meletakkan benda 6 cm di depan cermin cekung. Jika jarak fokus cermin 5 cm, perbesaran bayangan ......... kali.

a. 4                 

b. 5       

c. 6                 

d. 7

 

Kunci : B

 

Pembahasan :

 

Diketahui,

Jarak benda dari cermin cekung, s = 6 cm

Jarak titik fokus cermin, f = + 5 cm

 

Ditanya : perbesaran bayangan, M = … ?

 

Peny :

penyelesaian soal 1.a


Nomor : 02

Jarak fokus cermin berikut adalah 5 cm.

 

gambar soal 2


Perbesaran bayangan adalah ........ kali.

a.   0,5

b.  1,5

c.   4,5

d.  6,0     

 

Kunci : A

 

Pembahasan :

 

Terlebih dahulu kita mencari tahu jarak bayangan terhadap cermin. 


penyelesaian soal 2a

Selanjutnya kita dapat menghitung perbesaran bayangan yang terbentuk. 


penyelesaian soal 2b

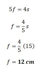
Nomor : 03

Jika cermin di bawah ini menghasilkan perbesaran 4 kali, maka fokus cermin tersebut adalah ........

 

gambar soal 3
 

            a.      6,0 cm
            b.     12,0 cm
            c.      14,0 cm
            d.     16,0 cm

 

Kunci : B

 

Pembahasan :

 

Dari soal kita mengetahui bahwasannya perbesaran yang dihasilkan M = 4 kali. 


penyelesaian soal 3a

Dengan mensubsitusikan nilai s = 15 cm, akan kita peroleh jarak bayangan terhadap cermmin. 


penyelesaian soal 3b

Dan untuk menghitung fokus cermin, f : 


penyelesaian soal 3c

penyelesaian soal 3d

Nomor : 04
 
Perbesaran bayangan yang dibentuk oleh cermin berikut adalah .......... kali.

 

gambar soal 4

 

            a.      0,5
            b.     1,0
            c.      2,0
            d.     4,0

 

Kunci : C

 

Pembahasan :

 

Langkah pertama kita, mencari tahu nilai titik fokus, f : 


penyelesian soal 4a

penyelesaian soal 4b

Nomor : 05

Sebuah benda berada 25 cm di depan cermin. Jika terbentuk bayangan nyata dengan tinggi 4 kali tinggi benda, maka jarak fokus cermin adalah ..... cm.

a. 5                  

b. 10     

c. 20                

d. 25       

 

Kunci : C

 

Pembahasan :

 

Langkah pertama kita, mencari tahu hubungan antara perbesaran yang dibentuk oleh jarak dengan ketinggian. 


penyelesaian soal 5a

Kita lanjutkan menggunakan rumusan untuk mencari titik fokus cermin. 


penyelesaian soal 5b


PERTEMUAN - 5 CAHAYA (CERMIN CEMBUNG)

3.     Cermin Cembung

Cermin ini dapat memendarkan cahaya ke segala arah, oleh karena itu cermin ini disebut juga cermin negatip, karena bersifat divergen. 



Aturan sinar istimewa pada cermin cembung 




“Sinar datang menuju titik pusat kelengkungannya P, akan dipantulkan kembali dari titik pusat kelengkungan P”.
 
Rumus jarak bayangan oleh cermin cembung



Contoh 01:

Sebuah cermin cembung memiliki jari – jari 6 cm, dan sebuah benda memiliki tinggi 3 cm. Benda tersebut di letakkan pada jarak 4 cm dari cermin cembung. Tentukanlah :

a)     Jarak bayangan terhadap cermin cembung

b)    Jarak bayangan terhadap benda

c)     Perbesaran bayangan

d)    Tinggi bayangan

e)     Sifat bayangan

 
 
Pembahasan :
 
Bagian a) jarak bayangan terhadap cermin cembung 





SERI - 3 SOAL DAN PEMBAHASAN CAHAYA (CERMIN CEMBUNG)

Nomor : 01

Sebuah benda berada 15 cm di depan cermin cekung yang mempunyai jari-jari kelengkungan 20 cm. Jarak bayangannya adalah ........ cm.

a. 30      

b. 20     

c. 15      

d. 5

 

Kunci : A

 

Pembahasan :

 

Diketahui,

Jarak benda di depan cermin cekung, s = + 15 cm

Jari – jari kelengkungan cermin cekung, R = + 20 cm

 

Catatan penting : cermin cekung bersifat mengumpulkan cahaya sehingga jari – jari R diberi tanda positip. Demikian juga untuk ttiik fokusnya, juga diberi tanda positip.


Nomor : 02

Sebuah paku diletakkan tegak lurus pada sumbu utama cermin cekung yang jarak fokusnya 2 cm. Bila jarak paku terhadap cermin 3 cm, maka jarak bayangannya .......

a.   1,2 cm di depan cermin

b.  1,2 cm di belakang cermin

c.   6,0 di depan cermin

d.  6,0 cm di belakang cermin

 

Kunci : C

 

Pembahasan :

 

Diketahui,

Jarak fokus cermin cekung, f = + 2 cm

Jarak benda di depan cermin cekung, s = 3 cm

 

Ditanya : jarak bayangan paku, s’=… ?

 

Peny : 



Nomor : 03

Jika sebuah benda berada di muka cermin cekung seperti gambar berikut ini,

 

 

 

  maka bayangan benda berada sejauh ........
            a.      7,2 cm
            b.     14 cm
            c.      18 cm
            d.     72 cm

 

Kunci : D

 

Pembahasan :

 

 

Soal nomor : 03 ini, mengajak kita mengamati soal melalui sebuah gambar. Jadi dari gambar kita memperoleh kesimpulan berupa. Jari – jari kelengkungan cermin cekung R = + 36 cm dan jarak benda dari cermin s = + 24 cm. Dan yang ditanyakan adalah jarak bayangan terhadap cermin cekung.

Maka, 



Catatan : nilai 18 merupakan hasil bagi dua dari jari – jari untuk mendapatkan nilai titik fokus cermin cekung. 


Nomor : 04

Lilin diletakkan di depan cermin seperti gambar berikut ini.

 


 Jarak fokus cermin 4 cm, perbesaran bayangan yang dibentuk cermin adalah ........

            a.      4,0 kali
            b.     2,0 kali
            c.      1,0 kali
            d.     0,5 kali

 

Kunci : D

 

Pembahasan :

 

Kembali kita dihadapkan dengan pengamatan gambar soal. pada soal nomor : 04 ini, jarak fokus cermin cekung sudah dituliskan nilainya f = 4 cm. Sedangkan jarak benda ke cermin cekung masih perlu kita perhatikan gambarnya. ( s = 12 cm ).

 

Ditanya : perbesaran bayangan, M = … ?

 

Peny : 


Untuk mendapatkan nilai perbesaran M, 



Dari perolehan nilai perbesaran di atas, jelas terlihat bayangan

lebih kecil dibandingkan dengan bendanya.

Seharusnya diperkecil dan bukan diperbesar.

 

Catatan penting :

Sebaiknya kita tetap menggunakan rumus perbesaran di atas

tanpa harus menggunakan tanda mutlak. Dengan anda tetap

menggunakan rumus perbesaran yang di depannya ada tanda

minus, lebih memudahkan anda menjabarkan sifat bayangan

yang terbentuk. Mari kita jabarkan sifat bayangan pada soal

nomor : 04 di atas. 


Sifat bayangan :

  • ·    Bayangan terbentuk di depan cermin cekung, karena s’ yang kita peroleh + 6 cm.
  • ·    Karena bayangan yang terbentuk terjadi di depan cermin, maka sifat bayangan dapat ditangkap layar alias nyata atau real.
  • ·    Nilai M mengandung minus ( M = - ) itu berarti bayangannya terbalik.
  • ·  Hasil perhitungan kita peroleh M = 0,5, itu berarti bayangannya diperkecil sebab nilainya kurang dari satu. 

Nomor : 05

Benda diletakkan di depan cermin seperti tampak pada gambar.

 

 

 

Perbesaran bayangan yang terbentuk adalah ......

            a.      3,0 kali
            b.     2,0 kali
            c.      1,0 kali
            d.     0,5 kali

 

Kunci : D

 

Pembahasan :

 

Pada soal nomor : 05 ini, kita dihadapkan untuk mengamati data soal melalui gambar. Dari gambar soal terlihat nilai fokus cermin cekung f = 20 cm. Dan jarak bendanya dari cermin cekung adalah s = 60 cm. Silahkan anda bandingkan penyelesaian nomor : 05 ini dengan penyelesaian nomor : 04 di atas. 





MATERI PEMBELAJARAN : UNTUNG ATAU RUGI

Tujuan Pebelajaran

Setelah mempelajari bab ini, kamu diharapkan mampu :

(1)   Memahami dan menganalisa masalah berkaitan dengan aritmatika sosial

(2)   Menyelesaikan masalah berkaitan dengan aritmatika sosial 

ARITMATIKA SOSIAL

 

A.  UNTUNG DAN RUGI

 

Perhatikan ilustrasi berikut,

“Koperasi sekolah “X” membeli beberapa pak buku tulis dan kotak pensil. Satu pak buku tulis berisi 10 buah buku tulis dan dibeli dengan harga Rp 32.000,00. Sedangkan satu kotak berisi 12 batang pensil dan harganya Rp 1.000,00. Lalu buku tulis dan pensil dijual dengan harga masing – masing Rp 4.000,00 per buah dan Rp 1.500,00 per batang”.





CONTOH SOAL DAN PEMBAHASAN

 

Nomor 1

Ibu Siti membeli satu kotak pensil berisi 12 batang seharga Rp 18.000,00
            a)     Berapakah harga satu batang pensil ?
            b)     Jika ibu Siti membeli 5 batang pensil, berapa uang yang harus dibayarkannya?



Contoh 02

Bayu membeli sepeda motor bekas seharga Rp 3.100.000,00 dari temannya. Motor tersebut dia perbaiki dengan menghabiskan biaya sebesar Rp 150.000,00. Beberapa hari kemudian, sepeda motor itu dia jual dengan harga Rp 4.250.000,00. Berapa rupiah keuntungan yang akan diperoleh Bayu. 


Contoh 03

Seorang pedagang membeli mie instan sebanyak 5 kardus. Setiap kardus berisi 4 bungkus. Harga seluruh mie instan Rp 240.000,00. Jika pedagang menjual kembali mie instan tersebut dengan harga Rp 2.500,00 per bungkus. Berapakah persentase keuntungan yang diperoleh pedagang tersebut. 




Materi menghitung Untung atau Rugi di atas, merupakan rangkuman dari beberapa buku pelajaran Matematika yang tersedia. Dan kembali saya sajikan dengan bentuk pembahasan yang ringkas serta jelas. Disusul ada beberapa contoh soal yang berguna untuk kita jadi sebagai bahan untuk memberikan contoh soal kepada siswa di kelas. 

Akhir kata saya mengucapkan terima kasih atas kunjungan bapak / ibu ke blog saya ini.