google-site-verification=ne6G5Vr6nbD8EHcN8bwnfb0Wd2QIbpMNrb27Dl6jG4o ULIMORANGKIR

This is default featured slide 1 title

Go to Blogger edit html and find these sentences.Now replace these sentences with your own descriptions.

This is default featured slide 2 title

Go to Blogger edit html and find these sentences.Now replace these sentences with your own descriptions.

This is default featured slide 3 title

Go to Blogger edit html and find these sentences.Now replace these sentences with your own descriptions.

This is default featured slide 4 title

Go to Blogger edit html and find these sentences.Now replace these sentences with your own descriptions.

This is default featured slide 5 title

Go to Blogger edit html and find these sentences.Now replace these sentences with your own descriptions.

SERI 1 PEMBAHASAN TRANSFORMATOR

Soal :
Suatu transformator step – down yang mempunyai kumparan primer 1000 lilitan dihubungkan pada tegangan 100 volt. Kumparan sekundernya terdiri atas dua bagian terpisah, masing – masing memberikan tegangan out put 10V dan 5 V. Jika tegangan output 5V memberikan arus listrik sebesar 2A, hitunglah :

a.   Jumlah lilitan masing – masing kumparan sekunder

b.   Kuat arus primer dan sekunder yang lain.

 

Pembahasan : 

bagian a) 


SERI 1 PEMBAHASAN TRANSFORMATOR

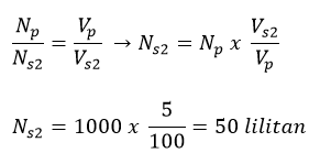
Untuk kumparan sekunder 1


Untuk kumparan sekunder 2



Bagian b)
Menentukan kuat arus primer,


Menentukan kuat arus sekunder pertama, 


Soal :

Sebuah transformator step – up mengubah tegangan 50 volt menjadi 200 volt. Jika efisiensi transformator 75%, ternyata daya yang hilang 150 watt. Maka hitunglah :
a)   Daya yang masuk dan daya yang keluar
b)   Kuat arus primer dan sekunder

 

Pembahasan :

Bagian a) 



Dimana : 

Sedangkan untuk daya out pun, 



Bagian b)
 
Kuat arus primer, ip


Kuat arus sekunder, is
 
Daya keluaran sama dengan daya sekundernya,
maka kita dapat menghitung nilai kuat arus sekundernya. 








SERI : 1 KESETIMBANGAN BENDA TEGAR

Soal : 01


Susunan benda pejal homogen yang terdiri dari kubus berongga
di atas lantai, seperti gambar di bawah ini. Tentukan jarak titik
berat susunan tersebut dari lantai.

SERI 1 KESETIMBANGAN BENDA TEGAR


Pembahasan :
 
Untuk menentukan titik berat setengah bola pejal.
 
Terbalik ke atas 

SERI 1 KESETIMBANGAN BENDA TEGAR

 
Telungkup 

SERI 1 KESETIMBANGAN BENDA TEGAR


Selanjutnya kita akan menentukan titik
kesetimbangan sistem.

SERI 1 KESETIMBANGAN BENDA TEGAR

Tinjau benda 1 : 

SERI 1 KESETIMBANGAN BENDA TEGAR

Tinjau benda 2 : 

SERI 1 KESETIMBANGAN BENDA TEGAR


Tinjau benda 3 : (bendanya kosong)

SERI 1 KESETIMBANGAN BENDA TEGAR

Maka titik kesetimbangan terhadap lantai, y0

SERI 1 KESETIMBANGAN BENDA TEGAR




Terima kasih sudah berkunjung ke blog saya 

SERI 2 MENGHITUNG MOMEN INERSIA BENDA PEJAL

Menentukan momen inersia pada Bola Pejal
 
Bola Pejal
Kita misalkan jari – jari bola pejal adalah R
Perhatikan gambar di bawah ini, kita akan menentukan
inersia bola pejal bermassa M.
Apabila di putar pada sumbu vertikalnya. 

SERI 2 MENGHITUNG MOMEN INERSIA BENDA PEJAL

Pembahasan : 


SERI 2 MENGHITUNG MOMEN INERSIA BENDA PEJAL


Tinjau eleman massa dari bola pejal, dm. 


SERI 2 MENGHITUNG MOMEN INERSIA BENDA PEJAL

Bentuk umum persamaan Inersia, 


SERI 2 MENGHITUNG MOMEN INERSIA BENDA PEJAL

Kita subsitusikan persamaan (2) ke persamaan (3) 

SERI 2 MENGHITUNG MOMEN INERSIA BENDA PEJAL

Kita tinjau segitiga yang terbentuk pada bola pejal, 


SERI 2 MENGHITUNG MOMEN INERSIA BENDA PEJAL


Selanjutnya kita subsitusikan persamaan (5)
ke persamaan (4) 


Sekarang kita masukkan batas bawah = 0 dan
batas atas = R, sehingga menjadi 

SERI 2 MENGHITUNG MOMEN INERSIA BENDA PEJAL

Lalu kita selesaikan integralnya, dan akan kita peroleh 

SERI 2 MENGHITUNG MOMEN INERSIA BENDA PEJAL


Karena batas bawah = 0, perhitungan nilai integral
cukup kita menggunakan batas atas saja, yakni R. 

SERI 2 MENGHITUNG MOMEN INERSIA BENDA PEJAL

Dengan sedikit melakukan modifikasi
persamaan (8) kita akan memperoleh
hasil, 

SERI 2 MENGHITUNG MOMEN INERSIA BENDA PEJAL



SERI 1 MENGHITUNG MOMEN INERSIA BENDA PEJAL

 Menentukan momen inersia pada Tongkat

 

Batang / tongkat
Kita misalkan panjang batang adalah L.
Kemudian kita diminta menghitung
momen inersia tongkat :

a.   Di ujung tongkat

b.   Di pusat tongkat


Pembahasan :
 
Bagian a)

SERI 1 MENGHITUNG MOMEN INERSIA BENDA PEJAL

Kita misalkan sampel tongkat dm, maka

SERI 1 MENGHITUNG MOMEN INERSIA BENDA PEJAL

Subsitusikan persamaan (1) ke persamaan (2) 

SERI 1 MENGHITUNG MOMEN INERSIA BENDA PEJAL


Bagian b) 


SERI 1 MENGHITUNG MOMEN INERSIA BENDA PEJAL


Kita misalkan sampel tongkat dm, maka


SERI 1 MENGHITUNG MOMEN INERSIA BENDA PEJAL

Kita subsitusikan persamaan (1) ke persamaan (2)


SERI 1 MENGHITUNG MOMEN INERSIA BENDA PEJAL

dan selanjutnya, 

SERI 1 MENGHITUNG MOMEN INERSIA BENDA PEJAL

Demikian pembahasan kali ini dan semoga bermanfaat
terima kasih. 

Untuk pembahasan bola pejal, silahkan kunjungi blog saya
dilaman berikutnya. 

SERI 10 PEMBAHASAN TRIGONOMETRI

Materi soal UH - 1 Matematika minat 
Kelas                  : XI MIPA  2
Semester            : I ( Satu ) 
Tahun Pelajaran : 2022 - 2023 
  

Nomor : 01

Buktikanlah identitas –identitas trogonometri berikut

Bagian a)



Bagian b) 


Bagian c) 


Bagian d) 



Bagian e)



Nomor : 02

Buktikan bahwa 

Bagian a)


Bagian b)

selanjutnya 


Nomor : 03

Jika 3 sin Ɵ + 4 cos Ɵ = 5, maka nilai dari sin Ɵ


kemudian, 


Nomor : 04

Jika tan Ɵ + secan Ɵ = x maka nilai tan Ɵ


Nomor : 05

(1 + cotan Ɵ – cosec Ɵ) (1+ tan Ɵ + secan Ɵ )
sama dengan 



Terima kasih sudah berkunjung ke blog saya, semoga pembahasan yang disajikan memberikan manfaat. Dan tetap semangat belajar, serta jika ada saran silahkan tinggalkan di kolom komentar. 


SERI 9 PEMBAHASAN TRIGONOMETRI

Soal : 09 
 (sin A + cos A)2 + (sin A – cos A)2 = …

A.  1

B.  2

C.  3

D.  3 cos A

E.  4 sin A

 

Pembahasan :

 

ó (sin A + cos A)2+ (sin A – cos A)2

ó sin2A + 2 sin A cos A + cos2A + sin2A

      – 2 sin A cos A + cos2A

ó 1 + 1

ó 2

 

Kunci : B 

SERI 8 PEMBAHASAN TRIGONOMETRI

Seri : 08


Pembahasan : 




Kunci : B