Soal : 1 (turunan)


Pernyataan yang benar mengenai nilai minimum dan maksimum dari 


Adalah …

A.  Nilai minimum 8

B.  Nilai maksimum 8

C.  Nilai minimum 1

D. Nilai minimum 1

E.  Tidak memiliki nilai minimum atau nilai maksimum

 

Pembahasan :

 

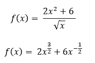
Langkah 1,

(rubah bentuk fungsi ke dalam bentuk pangkat) 

Soal : 1 (turunan)

Langkah 2,

(turunkan)

Soal : 1 (turunan)

Langkah 3,

Buat nilai f’(x) = 0, untuk mencari nilai x nya

Soal : 1 (turunan)

 Catatan

Dari soal, disebutkan syaratnya x ≥ 0. Maka nilai x yang kita ambil adalah x = + 1. Dan nilai minimumnya

Soal : 1 (turunan)



Seri : 3 (mikroskop)


Sebuah mikroskop jarak fokus okulernya 2,5 cm dan jarak

fokus objektifnya 0,9 cm, digunakan oleh orang bermata

normal ( Sn = 25 cm ) tanpa berakomodasi dan ternyata

perbesarannya  90 kali. Berarti jarak objek terhadap lensa

objektif adalah ....

A.   1,0 cm

B.   1,2 cm

C.   1,5 cm

D.  2,0 cm

E.   2,5 cm

 

Pembahasan

 

Diketahui,

Jarak fokus okuler, fok = 2,5 cm

Jarak fokus objektif, fob = 0,9 cm

Perbesaran total, MTot = 90 kali

Mata tidak berakomodasi

 

Ditanya,

Jarak benda terhadap lensa objektif, sob = … ?

 

Jawab

 

Perbesaran oleh lensa okuler, Mok


Seri : 3 (mikroskop)

Perbesaran oleh lensa objektif, Mob


Seri : 3 (mikroskop)

Menghitung jarak sob


Seri : 3 (mikroskop)

Kunci : A 




Seri : 1 (mikroskop)


Sebuah benda mikro berada 1 cm di muka lensa objektif mikroskop. Jarak fokus lensa objektif 0,9 cm. Mata pengamat di belakang lensa okuler melihat bayangan benda dengan perbesaran terhadap lensa okuler 10 kali. Hitunglah perbesaran mikroskop.

A.   11,9 kali

B.   90 kali

C.   100 kali

D.  110 kali

E.   190 kali

 

Pembahasan

 

Diketahui :

Jarak objek, sob = 1 cm

Jarak fokus lensa objektif, fob = 0,9 cm

Perbesaran lensa okuler, Mok = 10 kali

 

Ditanya :

Perebesaran mikroskop, MTot = … ?

 

Jawab, 


Seri : 1 (mikroskop)


Kita hitung jarak bayangan yang dihasilkan lensa objektif 


Seri : 1 (mikroskop)

Perbesaran oleh lensa objektif, Mob


Seri : 1 (mikroskop)

Sesuai dengan pertanyaan di atas, tanda minus dapat kita abaikan saja sementara. Sebab soal tidak meminta arah bayangan benda tegak atau terbalik.

 

Maka perbesaran oleh mikroskop, MTot


Seri : 1 (mikroskop)

Kunci : B 


 

Seri : 2 (mikroskop)

Sebuah mikroskop mempunyai panjang tabung 21,4 cm, fokus objektif 4 mm, fokus okuler 5 mm. Untuk mendapatkan bayangan yang jelas dengan mata tanpa akomodasi, maka terhadap objektif benda harus berada pada jarak...

A.  4,0 mm

B.  4,1 mm

C.  4,2 mm

D. 4,3 mm

E.  4,4 mm

 

Pembahasan

 

Diketahui,

Panjang tabung, d = 21,4 cm

Jarak fokus lensa objektif, fob = 4 mm = 0,4 cm

Jarak fokus lensa okuler, fok = 5 mm = 0,5 cm

Mata tidak berakomodasi

 

Ditanya,

Jarak objektif terhadap lensa objektif, sob = … ?

 

Jawab

 

Mata tidak berakomodasi, 


Seri : 2 (mikroskop)

Maka jarak sob


Seri : 2 (mikroskop)

Kunci : B 









 

Soal : 1 (GERAK LURUS)

Soal  : 1 (GERAK LURUS)

Perhatikan gambar di bawah ini,




Perjalanan mobil in Driver dari kota A menuju kota D. Waktu yang diperlukan dari kota A menuju kota B tercatat 1 jam. Kemudian dari kota B ke kota C diperlukan waktu 45 menit dan dari kota C ke kota D diperlukan waktu satu seperempat jam. Maka kelajuan rata – rata mobil in Driver. (dalam satuan km/jam).

a.   2,2

b.   53,3

c.   80

d.   480

 

Pembahasan : 

 

Soal  : 1 (GERAK LURUS)


 

Kunci : B

SERI : 137 (Persamaan lingkaran)

SERI : 137 (Persamaan lingkaran)

Salah satu persamaan garis singgung lingkaran

x2 + y2 – 4x + 2y = 0 yang tegak lurus dengan garis

x + 2y = 5 adalah …

A.  y = 2x – 2         D. y = 2x – 10

B.  y = 2x – 6         E. y = 2x – 12

C.  y = 2x – 8

 

Pembahasan :

 

Langkah 1, (tentukan nilai gradien garis yang diketahui)

 

ó x + 2y = 5

ó         y = - ½ x + 5/2

ó gradien m1 = - ½

 

Langkah 2, (tentukan gradien garis singgung)

 

Garis x + 2y = 5 tegak lurus dengan garis singgung, maka perkalian gradien garis dengan gradien garis singgung harus sama dengan minus satu (m1.m2 = – 1)

 

SERI : 137 (Persamaan lingkaran)


Kesimpulannya, gradien garis singgung m2 = 2

 

Langkah 3, (menentukan titik pusat dan radius lingkaran)

 

ó x2 + y2 – 4x + 2y = 0

ó (x – 2)2 – 4 + (y + 1)2 – 1 = 0

ó (x – 2)2 + (y + 1)2 – 5 = 0

ó (x – 2)2 + (y + 1)2 = 5

 

Dapat disimpulkan, titik pusat P(2, – 1)

dan radius lingkarannya r = √5.

 

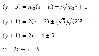
Langkah 4, (menentukan persamaan garis singgung)

 

SERI : 137 (Persamaan lingkaran)

Kemungkinan garis singgung 1,

 

y = 2x - 10 

 

Kemungkinan garis singgung 2,

 

y = 2x

 

Kunci : D

 

BACA JUGAQUIZ CAHAYA - 2

 

 

 

 

Soal : 30 (aritmatika)

Soal : 30 (aritmatika)

Jessica seorang pemilik butik memperoleh pendapatan bersih sebesar Rp 12.000.000,00 tiap bulan. Jessica belum menikah dan masih tinggal bersama ibunya yang telah pensiun beserta dua adiknya yang masih bersekolah. Setiap bulan ia harus membayar iuran jaminan kesehatan keluarga sebesar Rp 1.200.000,00. Besar PPh masa atau tiap bulan yang harus dibayarkan Jessica adalah …

A.  Rp 359.583,00

B.  Rp 436.255,00

C.  Rp 776.254,00

D. Rp 1.435.000,00

E.  Rp 4.315.000,00

 

Pembahasan :

 

Langkah 1, (menghitung income Jessica)

 

Tiap bulan

Rp 12.000.000,00

Disetahunkan

Rp 144.000.000,00

 

Langkah 2, (Memastikan status Jessica)

 

Status Jessica Belum Menikah

Tanggungan = 3 orang ( 1 ibu dan 2 adik)

 

Biaya tanggungan

 

Tiap bulan

Rp 1.200.000,00

Disetahunkan

Rp 14.400.000,00

 

Langkah 3, (sesuaikan aturan PPh)

 

Penghasilan yang tidak dikenakan pajak sesuai aturan PPh adalah Rp 67.500.000,00 setahun.

 

 

Langkah 4, (berikan kesimpulan)

 

Income setahun milik Jessica Rp 144.000.000,00 sedangkan aturan PPh yang tidak kena pajak adalah Rp 67.500.000,00. Jadi dapat disimpulkan Jessica kena pajak dan wajib membayarkan pajak PPh.

 

Langkah 5, (menghitung nilai pajak)

 

Penghasilan Jessica kena pajak

= income – biaya tanggungan – aturan PPh

= Rp 144.000.000,00 – Rp 14.400.000,00 – Rp 67.500.000,00

= Rp 62.100.000,00

 

PPh = tarif x Penghasilan kena pajak

PPh = 15% x Rp 62.100.000,00

PPh = Rp 9.315.000,00 per tahun

 

Maka Jessica wajib membayar tiap bulannya

 


 

Kunci : C

 

BACA JUGA :  QUIZ CAHAYA - 1