google-site-verification=ne6G5Vr6nbD8EHcN8bwnfb0Wd2QIbpMNrb27Dl6jG4o ULIMORANGKIR

This is default featured slide 1 title

Go to Blogger edit html and find these sentences.Now replace these sentences with your own descriptions.

This is default featured slide 2 title

Go to Blogger edit html and find these sentences.Now replace these sentences with your own descriptions.

This is default featured slide 3 title

Go to Blogger edit html and find these sentences.Now replace these sentences with your own descriptions.

This is default featured slide 4 title

Go to Blogger edit html and find these sentences.Now replace these sentences with your own descriptions.

This is default featured slide 5 title

Go to Blogger edit html and find these sentences.Now replace these sentences with your own descriptions.

PERSIAPAN UAS 1 TP 2023/2024

SMP WR SUPRATMAN 2 MEDAN

 

Tahun Pelajaran    : 2023 – 2024
Semester        : I (Satu)
Kelas                     : IX SMP
Materi Ajar            : Persiapan US Ganjil
Hari / kelas            :
Waktu                    :

 

Pilihan Berganda

 

1.   Dua buah partikel mempunyai muatan 3μC dan 7μC 
    terpisah sejauh 3 cm. Jika nilai k = 9.109 Nm2C – 2

    besar gaya Coulomb yang dialami kedua muatan tersebut 

    sebesar …

    a.  210 N
    b.  320 N
    c.   540 N
    d.  630 N

 

2.   Muatan A mengalami gaya Coulomb sebesar 8.104
    akibat muatan B yang ada di dekatnya. Jika muatan A 
    sebesar 20μC, medan listrik yang dirasakan muatan A 
    sebesar … N/C.
    a.  2.1010
    b.  4.1010
    c.   2.109
    d.  2.109

 

3.   Dua partikel bermuatan sejenis terpisah dengan jarak r. 
    Kedua partikel tersebut mengalami gaya coulomb sebesar 
    F. Jika jarak kedua benda diubah menjadi ¼ r , gaya
    coulomb kedua partikel tersebut menjadi …
    a.  ¼ F
    b.  1/16 F
    c.   4 F
    d.  16 F

 

4.   Muatan listrik sebesar 10 mC berpindah dari titik A 
    menuju titik B membutuhkan energi 3.10 – 2 J. 
    Beda potensial antara titik A dan titik B adalah …
    a.  1 volt
    b.  3 volt
    c.   5 volt
    d.  7 volt
 
5.    Bola A dan bola B terpisah pada jarak 10 cm. Bola C di letakkan diantara kedua bola A dan B. Diketahui muatan bola A, B, dan C berturut – turut adalah 4μC, 9μC, dan 25μC. Agar bola C tidak tertarik ke bola A dan bola B, bola C harus diletakkan pada jarak …

a.  4 cm dari letak bola A

b.  6 cm dari letak bola A

c.   4 cm dari letak bola B

d.  8 cm dari letak bola B

 

6.   Ebonit yang digosokkan pada rambut akan bermuatan 
    listrik. Jenis muatan listrik pada ebonit adalah …
    a.  Positif, karena elektron rambut berpindah ke ebonit.
    b.  Negatif, karena elektron ebonit berpindah ke rambut.
    c.   Negatif, karena elektron rambut berpindah ke ebonit.
    d.  Positif, karena elektron ebonit berpindah ke rambut.

 

7.   Lima buah baterai dengan tegangan 1,5V mempunyai 
    hambatan dalam sebesar 0,4. Kelima baterai tersebut 
    akan disusun paralel dan dihubungkan lampu dengan 
    hambatan sebesar 120. Arus total yang mengalir 
    dalam rangkaian adalah …
    a.  0,012 amper
    b.  0,015 amper
    c.   0,006 amper
    d.  0,12 amper

 

8.     Perhatikan rangkaian berikut.

 

    
PERSIAPAN UAS 1 TP 2023/2024 1


 

 

 

 

 

 

 

 

 

 


Jika sakelar dibuka, tegangan yang terukur oleh voltmeter …

a.  Tidak mengalami perubahan

b.  Mengalami kenaikan sebesar 10 V

c.   Mengalami penurunan sebesar 10 V

d.  Mengalami kenaikan sebesar 20 V

 

9.     Amperemeter dengan hambatan dalam 0,4 hanya dapat mengukur arus maksimum 1A. Agar amperemeter dapat digunakan untuk mengukur arus 2A, pada amperemeter harus dipasang hambatan sebesar …

a.  0,4 secara seri

b.  0,4 secara paralel

c.   0,8 secara seri

d.  0,8 secara paralel

 

10. Dalam sebuah rumah digunakan sebuah mesin cuci dengan daya 250W yang dihidupkan selama 2 jam setiap dua hari sekali dan sebuah AC dengan daya 500W yang dihidupkan selama 5 jam/hari. Jika harga energi listrik setiap kWh sebesar Rp 1.400,00, biaya yang harus dikeluarkan dalam satu bulan (30 hari) sebesar …

a.  Rp 57.750,00

b.  Rp 63.000,00

c.   Rp 110.250,00

d.  Rp 115.500,00

 

11. Pak Arif sedang memanggang kue menggunakan oven 400W/220V. Waktu yang dibutuhkan untuk memanggang kue kurang lebih 20 menit. Rumah Pak Arif menggunakan daya 1.300W dan tegangan 220V. Jika tiba – tiba tegangan listrik rumah Pak Arif turun menjadi 200V, daya yang diserap oleh oven sebesar …

a.  221 W

b.  331 W

c.   661 W

d.  991 W

 

12. Penggunaan mesin pengering pakaian 400W/220V dalam sebuah rumah selama sebulan membutuhkan energi sebesar 24 kWh. Penggunaan mesin pengering dalam sehari adalah …

a.  1 jam

b.  2 jam

c.   3 jam

d.  4 jam

 
Uraian :
 
13. Perhatikan gambar berikut.
PERSIAPAN UAS 1 TP 2023/2024 2


 

 

 

 

 

 

 

 

Ketiga benda tersebut mempunyai muatan yang sama yaitu 2μC. Tentukan besarnya gaya coulomb yang terjadi pada benda A.

 

(20 point)

 

14. Lampu senter memiliki daya 1 W. Apabila arus listrik yang mengalir pada lampu tersebut sebesar 400 mA, tentukan besar sumber tegangan yang digunakan.   

 

(20 point)

 

 


























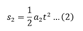
SERI OSN : 112

Soal : 112

Perhatikan sistem di bawah ini.

SERI OSN : 1121











Ada dua balok, masing – masing massanya m dan M. 
Koefisien gesekkan antara balok M dengan lantai μ1
sedangkan koefisien gesekkan antara balok m dengan 
balok M adalah μ2. Pada balok m diberi gaya mendatar 
F yang cukup besar sehingga balok m akan bergerak 
dipunggung balok M, dan balok M juga bergerak 
akibat gaya F ini (asumsi μ2 cukup besar). 
Jika balok m berpindah sejauh L relatif terhadap balok M. 
Berapakah usaha yang dilakukan gaya F? 
(M = 2m ; F = βmg = 5,6mg  ; μ1 = 0,1 dan μ2 = 0,5)
 
Pembahasan :
 
Tinjau benda m terlebih dahulu,
 
SERI OSN : 1122










Akibat pemberian gaya akan menimbulkan 
percepatan pada benda m.

SERI OSN : 1123














Percepatan yang dialami m membuatnya bergerak 
selama t dan sejauh s2.
SERI OSN : 1124





Karena awalnya benda m diam, maka (v0)m = 0, 
sehingga s2.

SERI OSN : 1125





Kemudian kita substitusikan persamaan (1) ke dalam 
persamaan (2), maka kita akan memperoleh 
persamaan (3).

SERI OSN : 1126





Kemudian tinjau benda M secara keseluruhan (m + M).
 
SERI OSN : 1127
















Pergeseran M setelah t ,

SERI OSN : 1128








Maka selisih jarak kedua massa :

SERI OSN : 1129






Kemudian kita substitusikan nilai M = 2m ; 
F = βmg = 5,6mg,
μ1 = 0,1 dan μ2 = 0,5.

SERI OSN : 11210










Selisih jarak pergerakan kedua benda s2 – s1 = L,

SERI OSN : 11211











Nilai t yang kita peroleh dari persamaan (8) ke 
persamaan (4),Sehingga kita peroleh hasil berikut.

SERI OSN : 11212






Akhirnya kita dapat memperoleh usaha yang 
dilakukan oleh gaya F.

SERI OSN : 11213


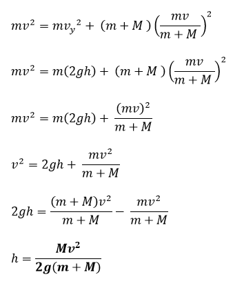
SERI OSN : 111

Soal : 111

Sebuah bola kecil bermassa m diletakkan di atas benda M yang 
terletak pada bidang datar licin. Bola kecil kemudian diberikan 
kecepatan v. Hitung sampai ketinggian berapa bola ini akan naik 
setelah meninggalkan benda M. Abaikan semua gesekkan dan 
tumbukkannya elastik.

SERI OSN :  1111












Pembahasan :
 
Tumbukkan benda m dengan M terjadi pada
arah sumbu x.

SERI OSN :  1112














Menggunakan hukum kekekalan momentum :

SERI OSN :  1113







Setelah tumbukkan, benda m memiliki
kecepatan dalam arah sumbu x dan sumbu y.

SERI OSN :  1114




dan besarnya :

SERI OSN :  1115





Kecepatan arah sumbu y ini yang menyebabkan
benda bergerak naik. Besar vy dapat dicari dari
hukum kekekalan energi.

SERI OSN :  1116








Karena tumbukkan yang terjadi termasuk
tumbukan elastik

SERI OSN :  1117













Sekarang kita substitusikan pers (1)
dan (2) ke pers (3)

SERI OSN :  1119
























Sampai bertemu dipembahasan lain