25 SOAL MEDAN MAGNETIK SMA

Nama Sekolah       :
Tahun Pelajaran    :
Semester               :
Materi                    : Medan Magnetik
Kelas                     : XII – IPA
Hari/tanggal           :
Waktu                    : 
 
Pilihan Berganda
 
Soal : 1
Sebuah kawat lurus panjang yang dialiri arus listik sebesar 10 A dari arah timur ke barat. Tentukan besar dan arah induksi magnetik di titik P yang berada tepat di bawah kawat tersebut pada jarak 10 cm.
A.    2 x 10 – 5  T
B.    4 x 10 – 5  T
C.   10 x 10 – 5 T
D.   2 x 10 – 6  T
E.    1 x 10 – 5  T
 
Soal : 2
Tentukan besarnya induksi magnet disuatu titik yang berjarak 2 cm dari kawat lurus panjang yang berarus listrik 30 A?
A.    3 x 10 – 4 wb/m2.
B.    6 x 10 – 4 wb/m2.
C.   9 x 10 – 4 wb/m2.
D.   10 x 10 – 4 wb/m2.
E.    1 x 10 – 4 wb/m2.
 
Soal : 3
Suatu solenoida terdiri dari 300  lilitan berarus 2 A. panjang solenoida 30 cm. Induksi magnet di tengah-tengah solenoid adalah ..
A.    8 x 10 – 4  wb/m2.
B.    4 x 10 – 4  wb/m2.
C.   2 x 10 – 4  wb/m2.
D.   12 x 10 – 4  wb/m2.
E.    16 x 10 – 4 wb/m2.

Soal : 4
Sebuah toroida memiliki jari-jari 50 cm dialiri  arus sebesar 1 A. Jika toroida tersebut memiliki 60 lilitan, hitunglah besar induksi magnetic pada sumbunya.
A.    2,0 x 10 – 5 T
B.    2,4 x 10 – 5 T
C.   4,0 x 10 – 5 T
D.   2,0 x 10 – 6 T
E.    9,0 x 10 – 5 T

Soal : 5
Sebuah kawat penghantar berarus listrik 5 A arahnya keluar bidang gambar, memotong tegak lurus garis-garis gaya magnet dengan besar induksi magnet B = 2 x 10 – 4 T. Bila panjang kawat yang terpengaruh B adalah 4 cm, tentukan besar dan arah gaya magnetic yang timbul pada kawat.
A.    4,0 x 10 – 5 Newton
B.    4,0 x 10 – 6 Newton
C.   13 x 10 – 5 Newton
D.   2 x 10 – 5 Newton
E.    4,2 x 10 – 5 Newton

Soal : 6
Sebuah electron berkecepatan 2 x 107 m/s masuk dalam medan magnet yang induksi magnetnya 1,5 wb/m2 dengan sudut 600 terhadap garis medan. Hitung gaya magnetik yang dialami elektron. (q =1,6 x10-19C)
A.    4,8 x 10-12.
B.    48 x 10-12.
C.   4,8 x 10-10.
D.   2,4 x 10-12.
E.    8,8 x 10-12.

Soal : 7
Perhatikan gambar berikut. 
NOMOR 7
Seutas kawat berada diantara dua magnet yang memiliki besar induksi magnetik 0,02 Tesla. Jika besar kuat arus yang mengalir pada kawat adalah 5 A, besar gaya magnetik yang bekerja pada kawat sepanjang 10 cm adalah ..
A.    0,01 N
B.    0,1 N
C.   1 N
D.   10 N
E.    100 N

Soal : 8
Sebuah positron yang bermuatan 1,6 x 10−19C bergerak dengan kecepatan 5 x 105 m/s melalui medan magnet sebesar 0,8 T seperti gambar berikut. Besar gaya magnetik saat positron berada dalam medan magnet adalah ..
A.    6,4 x 10−14Newton
B.    6,4 x 10−12Newton
C.   6,4 x 10−11Newton
D.   64 x 10−14Newton
E.    3,2 x 1012 Newton

Soal : 9
Dua buah muatan masing-masing Q1 = 2Q dan Q2 = Q dengan massa masing-masing m1 = m dan m2 = 2 m bergerak dengan kelajuan yang sama memasuki suatu medan magnet homogen B. Tentukan perbandingan jari-jari lintasan yang dibentuk muatan Q dan 2Q.
A.    1 : 4
B.    4 : 1
C.   2 : 4
D.   1 : 3
E.    2 : 3

Soal : 10
Seutas kawat lurus dialiri arus sebesar 15 A dengan arah ke kanan. 8 mm dari kawat bergerak sebuah muatan positif sebesar 0,4 C dengan arah sejajar kawat dengan kelajuan 5 x 10 3 m/s. Besar gaya magnetik adalah ..
A.    0,75 N
B.    14 N
C.   1,4 N
D.   18 N
E.    0,4 N

Soal : 11
Sebuah proton bergerak dalam lintasan lingkaran dengan jari-jari 14 cm dalam sebuah medan magnetik 0.35 T yang tegak lurus dengan kecepatan proton. Laju linier proton adalah ..
A.    570 m/s
B.    470 m/s
C.   4,7 10m/s
D.   4,7 10-2 m/s
E.    5,9 m/s

Soal : 12
Sebuah bidang seluas 100 cm2 ditembus secara tegak lurus oleh garis-garis gaya magnet yang kerapatannya 5 x 10 – 4 Wb/m2. Besar fluks magnet yang dilingkupi bidang tersebut adalah ….
A.    Nol
B.    2,0 x 10 – 6 wb
C.   2,5 x 10 – 6 wb
D.   4,0 x 10 – 6 wb
E.    5,0 x 10 – 6 wb

Soal : 13
Suatu kumparan terdiri atas 200 lilitan berbentuk persegi panjang dengan panjang 10 cm dan lebar 5 cm. Kumparan tersebut memiliki sumbu putar yang tegak lurus medan magnet sebesar 0,5 T dan diputar dengan kecepatan sudut 60 rad/s. GGL maksimum yang timbul pada ujung-ujung kumparan adalah …..
A.    5 V                                       
B.    30 V                                    
C.   50 V
D.   60 V
E.    220 V

Soal : 14
Dua buah kawat lurus panjang dan sejajar terpisah pada jarak 10 cm, yang masing-masing dialiri arus listrik sebesar 6 A dan 8 A. Besar induksi magnetik di titik P yang berjarak 4 cm dari kawat pertama dan 6 cm dari kawat kedua adalah …
A.    2 x 10-7 T
B.    1 x 10-7 T
C.   1 x 10-6 T
D.   1 x 10-5 T
E.    1 x 10-4 T

Soal : 15
Dua buah kawat panjang lurus sejajar terpisah pada jarak 12 cm. Kawat pertama dialiri arus 4 A kawat kedua 6A. Tentukan besar induksi magnet pada titik yang berada di antara dua kawat tersebut dan berjarak  4 cm dari kawat pertama.
A.    Nol
B.    3,4 x 10-6 T
C.   4,0 x 10-7 T
D.   4,0 x 10-6 T
E.    2,0 x 10-6T

Soal : 16
Sebuah kawat penghantar berbentuk lingkaran dengan jari-jari 8 cm dan terdiri atas 20 lilitan yang dialiri arus listrik sebesar 10 A. Besar induksi magnet di titik pusat lingkaran adalah …
A.    1 × 10-3 T
B.    2 x 10-3 T
C.   5  × 10-3 T
D.   6  × 10-3 T
E.    8  × 10-3 T

Soal : 17
Dua buah penghantar berarus listrik 3A dan 4A. Kedua penghantar tersebut terpisah sejauh 20 cm. Gaya magnet persatuan panjang yang bekerja pada kedua penghantar jika arus pada kedua penghantar searah adalah …
A.    12 x 10-5N/m
B.    12 x 10-6 N/m
C.   1,2 x 10-7N/m
D.   6 x 10-5N/m
E.    6 x 10-6N/m

Soal : 18
Sebuah kawat lurus panjang dialiri arus 5 miliampere berada diruang hampa. Tentukan besarnya induksi magnetik pada titik yang berada sejauh 10 cm disebelah kanan kawat, bila kawat vertikal. 
A.    10-2T
B.    10-9 T
C.   10-10  T
D.   10-12 T
E.    10-8 T

Soal : 19
Sebuah kawat berada pada sumbu x dialiri arus listrik sebesar 2 A searah dengan sumbu x positif. Tentukan besar dan arah medan magnet dititik P yang berada pada sumbu y berjarak 4 cm dari pusat koordinat 0 (lihat gambar).

NOMOR 19

A.    1,0 x 10-2 T
B.    1,0 x 10-5  T
C.   1,0 x 10-3 T
D.   1,2 x 10-2 T
E.    1,0 x 10-7 T

Soal : 20
Besarnya induksi magnetik di titik yang berjarak 2 cm dari kawat lurus yang panjang dan berarus listrik 30 ampere adalah…
A.    3 x 10 – 4  wb/m2.
B.    3 x 10 – 2  wb/m2.
C.   6 x 10 – 4  wb/m2.
D.   6 x 10 – 3  wb/m2.
E.    3 x 10 – 1  wb/m2.

Soal : 21
Sebuah kawat lurus yang panjang berarus listrik 10 A. Sebuah titik berada 4 cm dari kawat. Kuat medan magnet di titik tersebut adalah…
A.    0,50 x 10 – 4  wb/m2.
B.    1,00 x 10 – 4  wb/m2.
C.   3,14 x 10 – 4  wb/m2.
D.   4,00 x 10 – 4  wb/m2.
E.    5,00 x 10 – 4  wb/m2.

Soal : 22
Kuat medan magnet solenoida ditentukan oleh faktor-faktor di bawah ini, kecuali……
A.    arus listrik
B.    banyaknya lilitan
C.   panjang solenoida
D.   garis gaya
E.    permeabilitas bahan

Soal : 23
Sebuah elektron bergerak didalam medan magnet serba sama secara tegak lurus dengan kecepatan 2 108m/s. Jika besar induksi magnet 0,8 T maka jari-jari lintasan electron adalah ..
A.    14,22 x 10-4 m
B.    1,422 x 10-4 m
C.   142,2 x 10-4 m
D.   9,1 x 10-4 m
E.    9 x 10-4 m

Soal : 24
Sebuah toroida memiliki jari-jari 50 cm dialiri  arus sebesar 1 A. Jika toroida tersebut memiliki 60 lilitan, hitunglah besar induksi magnetic pada sumbunya.
A.    2,0 x 10 – 5 T
B.    2,4 x 10 – 5 T
C.   4,0 x 10 – 5 T
D.   2,0 x 10 – 6 T
E.    9,0 x 10 – 5 T

Soal : 25
Dua buah kawat panjang lurus sejajar terpisah pada jarak 12 cm. Kawat pertama dialiri arus 4 A kawat kedua 6A. Tentukan besar induksi magnet pada titik yang berada di antara dua kawat tersebut dan berjarak  4 cm dari kawat pertama.
A.    Nol
B.    3,4 x 10-6 T
C.   4,0 x 10-7 T
D.   4,0 x 10-6 T
E.    2,0 x 10-6T

 

LJK


LATIHAN OSN FISIKA (PART 69)

Soal : 1 (Parabola pada bidang miring)
Sebuah peluru ditembakkan dari kaki bidang miring ke atas dengan kecepatan awal 100 m/s membentuk sudut 300 terhadap bidang miring yang kemiringannya 300 juga. Hitunglah kapan, dimana dan dengan kecepatan berapa peluru tiba di bidang miring.
 
Soal : 2 (bola dilempar vertikal ke atas)
Sebuah peluru ditembakkan vertikal ke atas dengan kecepatan awal v0 m/det. Tinggi peluru setelah t detik dinyatakan dengan fungsi h(t) = 100 + 40t – 4t2. Tinggi maksimum yang dapat dicapai peluru adalah …

A.  160 m

B.  200 m
C.  340 m
D. 400 m
E.  800 m

 

Soal : 3 (parabola)
Peluru ditembakkan dengan sudut elevasi a = 600 di dasar bidang miring dengan sudut kemiringan b = 300 seperti pada gambar di bawah ini.


Jika kecepatan awal peluru 29,4 m/s dan percepatan gravitasi 9,8 m/s2. Maka besar jarak d adalah … ? (SIMAK UI 2011)
A.  58,80 m
B.  29,40 m
C.  26,13 m
D. 36,28 m
E.  49,80 m
 
Soal : 4
Dua buah benda saling berdekatan dengan kecepatan konstan dalam satu garis lurus. Kecepatan benda 1 dan 2 berturut – turut adalah 4 m/s dan 5 m/s. Perbandingan massa benda 1 dan 2 adalah 2 : 1. Kemudian kedua benda tersebut saling bertumbukan lenting sempurna. Kecepatan benda 1 dan 2 setelah tumbukan menjadi.

Soal : 5
Sebuah balok bermassa 1 kg sedang bergerak pada permukaan datar yang kasar. Besar gaya gesek antara balok dan permukaan adalah tetap 2 N. Pada t = 0 s, kecepatan balok 5 m/s sedangkan posisinya di x = 0 meter. Jika mulai t = 0, balok diberi gaya tetap secara mendatar 3N seperti gambar, maka kelajuan rata – rata balok pada interval t = 0 sampai t = 2 s adalah …
A.   1,25 m/s          
B.   1,50 m/s          
C.   2,25 m/s
D.  2,75 m/s
E.   3,50 m/s

Soal : 6
Jika mA = 3 kg dan mB = 2 kg dan gaya F menyebabkan kereta C mendapat percepatan 5 m/s2, maka besarnya tegangan tali adalah …

A.   15 N                 D. 6 N
B.   18 N                 E. 3 N
C.   10 N
 
Soal : 7
Sebuah tongakat homogen dengan panjang L dan massa m berotasi pada sumbu yang terletak pada salah satu ujungnya. Anggap tidak ada gesekan. Batang dilepas dari posisi horizontal dari keadaan diam. Saat batang berada pada keadaan vertikal, batang menumbuk sebuah bola dengan massa M yang diam. Tumbukan yang terjadi tidak lenting sama sekali.


a. Tentukan momen inersia batang terhadap sumbu rotasi.
    (nyatakan dalam m, dan L)
b. Dari hukum kekekalan energi, tentukan energi total batang
    mula – mula
c. Tentukan juga energi total batang sesaat setelah tumbukan
d. Tentukan kecepatan sudut batang sesaat sebelum tumbukan
e. Momentum sudut sistem tersebut kekal, tentukan momentum
    sudut mula – mula dan momentum sudut akhir sistem tersebut
f. Tentukan kecepatan sudut batang sesaat setelah tumbukan
g. Berpakah energi yang hilang dalam proses tumbukan
 
Soal : 8
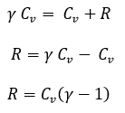
Perbandingan kapasitas kalor suatu gas ideal pada tekanan tetap dan volume tetap adalah ɤ . Jika tetapan umum gas ideal adalah R, tentukan kapasitas kalor molar gas pada tekanan tetap dan volume tetap. (nyatakan dalam ɤ dan R)
 
Pembahasan :

Tetapan laplace, ɤ

Subsitusikan persamaan (1) ke persamaan (2)

Kapasitas kalor molar gas pada volume tetap

Tetapan laplace, ɤ

Subsitusikan persamaan (1) ke persamaan (2)

Kapasitas kalor molar gas pada tekanan tetap


 

 

 

 

 

 

15 SOAL DERET, MATEMATIKA WAJIB XI SMA

Bahan ajar Matematika (wajib) kelas XI MIA. Materi berbagi ini saya kutip saat memberikan pelajaran private les kepada salah satu anak murid yang berasal dari SMA Methodist 2 Medan T.A 2021/2022. Jika anda ingin menggunakannnya untuk bahan pembelajaran atau berlatih, saya persilahkan. Semoga pengalaman berbagi ini memberikan manfaat bagi kita semua.

 

Berilah tanda silang(x) pada jawaban yang benar

 

Soal : 1
Jumlah bilangan – bilangan bulat antara 250 dan 1 000 yang habis dibagi 7 adalah …
A. 66.661
B. 54.396
C. 45.692
D. 36.456
E. 73.775

Soal : 2
Pada tanggal 1 Januari 2007, Chandra meminjam uang di bank. Pinjaman tersebut pelunasannya dicicil tiap awal bulan sebesar Rp 100.000,00 dimulai pada akhir April 2007 dan berakhir pada akhir Maret 2008, dengan suku bunga majemuk 5% setiap bulan. Besar pinjaman Chandra mula – mula adalah …
A. Rp 614.001,00
B. Rp 617.001,00
C. Rp 615.001,00
D. Rp 618.002,00
E. Rp 616.001,00

Soal : 3
Pinjaman sebesar Rp 10.000.000,00 akan dilunasi dengan sistem anuitas bulanan dengan suku bunga 3% tiap bulan selama 2,5 tahun. Besarnya anuitas adalah …
A. Rp 320.192,59
B. Rp 615.192,59
C. Rp 215.192,59
D. Rp 510.192,59
E. Rp 410.192,59

Soal : 4
Suku ketiga dan suku ketujuh suatu deret geometri berturut – turut 16 dan 256. Jumlah tujuh suku pertama deret tersebut adalah …
A. 5.000
B. 512
C. 504
D. 516
E. 508

Soal : 5
Dari suatu barisan aritmatika suku ketiga adalah 36, jumlah suku kelima dan ketujuh adalah 144. Jumlah sepuluh suku pertama deret tersebut adalah …
A. 840
B. 630
C. 660
D. 315
E. 640

Soal : 6
Jumlah tak hingga suatu deret geometri adalah 8 dan jumlah semua suku pada urutan genap adalah 8/3, suku kelima deret tersebut adalah … 
A. 1
B. ¼
C. ½
D. 1/5
E. 1/3

Soal : 7
Jumlah n – suku pertama suatu deret aritmatika adalah Sn = ½ n(11 - n). Suku ke – 10 adalah …
A. – 1
B. 6
C. – 94
D. 3
E. 41

Soal : 8 
Jumlah suku – suku nomor ganjil suatu deret geometri tak hingga adalah 4. Rasio deret tersebut adalah ½ , maka deret tersebut adalah
A. 3, ¾ , 3/16 , …
B. 3/6, 3/8, 3/12, …
C. 3, 3/2, ¾, …
D. 3/2, ¾, 3/6, …
E. 3/8, ¾, 3/2, …

Soal : 9
Diketahui deret bilangan 10 + 12 + 14 + 16 + … + 98. Jumlah bilangan dari deret bilangan yang habis dibagi 2 tetapi tidak habis dibagi 5 adalah …
A. 1.380
B. 3.300
C. 1.500
D. 4.400
E. 1.980

Soal : 10
Hasil kali suku kedua dan suku keempat dari suatu barisan geometri yang semua sukunya positip adalah 16. Jika jumlah tiga suku pertama 7, maka suku pertamanya adalah …
A. 9
B. 7
C. 5
D. 3
E. 1

Soal : 11
Diketahui deret bilangan 10 + 12 + 14 + 16 + … + 98. Jumlah bilangan dari deret bilangan yang habis dibagi 2 tetapi tidak habis dibagi 5 adalah …
A. 1.380
B. 3.300
C. 1.500
D. 4.400
E. 1.980

Soal : 12
Tiga bilangan memberikan suatu deret geometri. Jika hasil kalinya adalah 216 dan jumlahnya 26, maka rasio deret tersebut adalah …
A. 3 atau 1/3               
B. 3 atau 1
C. 18 atau 2                
D. 4 atau ¼
E. 36 atau 20

Soal : 13
Diketahui barisan sepuluh bilangan a1, a2, a3, … , a10. Jika a1 = 2p + 25, a2 = – p + q, a3 = 3p + 7 dan an + 1 – an untuk n = 1, 2, 3, …, 9, maka jumlah semua bilangan itu adalah …
A. – 240
B. – 180
C. – 220
D. – 160
E. – 200

Soal : 14
Diketahui suku ke – 2 dan skuk ke – 10 barisan aritmatika berturut –turut adalah – 7 dan 17. Suku ke – 20 barisan tersebut adalah …
A. 37
B. 57
C. 47
D. 74
E. 50

Soal : 15
Dari sebuah deret aritmatika diketahui S4 = 44 dan S8 = 152. Suku pertama dari deret tersebut adalah …
A. – 50                       
B. 45
C. – 40                       
D. 55
E. 45