Soal : 1 (UMPTN 1993)
Titik jauh penglihatan seseorang 100 cm dimuka mata.
Orang ini memerlukan kacamata dengan lensa yang dayanya ?
A.
+ 0,5 dioptri
B.
+ 0,3 dioptri
C.
+ 3,0 dioptri
D. – 3,0 dioptri
E.
– 1,0 dioptri
Pembahasan :
Titik jauh penderita, s = – PR = – 100 cm
Maka kuat lensa, P.
Kunci : E
Soal : 2 UMPTN 1995
Titik dekat mata seseorang 200 cm di muka mata. Agar
orang itu dapat melihat pada jarak 25 cm, maka perlu kacamata berkekuatan ?
A.
+ 3,5 D
B.
+ 0,2 D
C.
– 0,2 D
D. – 0,4 D
E.
– 0,5 D
Pembahasan :
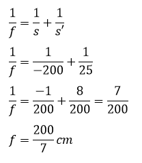
Titik dekat penderita, s = – PP = – 200 cm
Agar dapat melihat
titik dekat normal, s’ = 25 cm
Maka kuat lensa, P :
Maka kuat lensa,
Kunci : A
Soal : 3 (UMPTN 1994)
Titik dekat mata seseorang terletak pada jarak 120 cm
di depan mata. Untuk melihat dengan jelas suatu benda yang terletak 30 cm di
depan mata, kekuatan lensa kacamata yang harus dipakai adalah … ?
A.
+ 1,5 D
B.
– 1,5 D
C.
+ 2,5 D
D. – 2,5 D
E.
+ 3,3 D
Pembahasan :
Titik dekat penderita, s = – PP = – 120 cm
Titik dekat normal, s’ = 30 cm
Kuat lensa, P = … ?
Kuat lensa, P :
Kunci : C
Soal : 4 (SPMB 2006)
Seseorang tua memakai kacamata +3 dioptri untuk
membaca dengan jarak dari mata ke bahan bacaaan sejauh 25 cm. Pada suatu hari
karena terlupa tidak membawa kacamata, maka orang tua ini meminjam kacamata
temannya dan untuk membaca dengan jelas dia harus menempatkan bahan bacaannya
sejauh 40 cm dari matanya. Kacamata yang dipinjamkannya ini mempunyai kekuatan
?
A.
+ 1,00 dioptri
B.
+ 1,33 dioptri
C.
+ 1,50 dioptri
D. + 1,67 dioptri
E.
+ 2,00 dioptri
Pembahasan :
Kuat lensa kacamata, P1 = + 3,0 Dioptri
Titik dekat mata normal, s1’ = 25 cm
Misalkan titik dekat penderita, s1 = – PP =
– x cm
Untuk kacamata yang dipinjam, Titik dekat s2’ = 40 cm
Maka kuat lensa P2
:
Kunci : C
Soal : 5
Kekuatan lensa kacamata baca seorang presbiopi disesuaikan dengan
jarak titik dekatnya.
Bayangan tulisan yang dibaca seorang presbiopi yang memakai kacamata harus terjadi di titik dekatnya.
Pembahasan :
Pernyataan benar.
Mata presbiopi mempunyai titik dekat yang lebih besar
dari 25 cm sehingga dibutuhkan kacamata positip agar bayangannya jatuh pada
titik dekatnya.
Alasan benar.
Bayangan tulisan sama dengan titik dekatnya
Kunci : A
Soal : 6 (UNDIP 2016)
Seorang pengguna lensa kacamata positip berkekuatan
0,5 dioptri. Titik dekat orang tersebut adalah ?
A.
13,4 cm
B.
25,6 cm
C.
28,6 cm
D. 32,1 cm
E.
35,0 cm
Pembahasan :
Kuat lensa, P :
Titik dekat mata normal, s’ = 25 cm, maka titik dekat
penderita, s.
Kunci : C
Soal : 7 (UNDIP 2010)
Seorang kakek tidak bisa membaca tulisan dengan jelas bila jaraknya kurang dari 60 cm dari lensa matanya. Agar dapat membaca tulisan dengan jelas pada jarak 30 cm, maka kekuatan lensa kacamata yang harus digunakan adalah 1,5D.
SEBAB
Agar kakek dapat membaca tulisan dengan jelas maka bayangan dari tulisan yang akan dibaca harus terletak pada titik dekatnya.
Pembahasan
Pernyataan salah.
Jarak titik dekat penderita, s = – PP = – 60 cm
Jarak titik dekat mata normal, s’ = 30 cm
Maka kuat lensa, P :
Pernyataan menyebutkan kuat lensa 1,5 D dan sementara
hasil perhitungan 1,67 D
Alasan benar.
Agar kakek dapat membaca jelas, maka bayangan harus
terletak pada titik dekat mata.
Kunci : D
Soal : 8 (SIMAK UI 2010)
Seseorang dapat melihat dengan jelas paling jauh 2
meter dan paling dekat 50 cm. Agar orang tersebut dapat melihat dengan normal
pada jarak jauh tak hingga dan jarak dekat 25 cm, orang tersebut harus
menggunakan kacamata dengan ukuran ?
A.
– 0,5 dioptri dan + 2,0 dioptri
B.
– 0,5 dioptri dan + 2,5 dioptri
C.
– 1,0 dioptri dan + 2,5 dioptri
D. – 1,5 dioptri dan + 4,0 dioptri
E.
– 1,5 dioptri dan + 2,0 dioptri
Pembahasan
Presbiopi mengalami miopi bersamaan dengan
hipermetropi.
Rabun jauh (Miopi)
Titik jauh penderita, s = - PR = - 2 m = - 200 cm
Titik jauh mata normal, s’ = ~ (tak hingg)
Maka kuat lensa, P :
Rabun dekat (hipermetropi)
Titik dekat penderita, s = - PP = - 50 cm
Titik dekat mata normal, s’ = sn = 25 cm
Maka kuat lensa, P :
Kunci : A
Soal : 9 (SNMPTN 2010)
Jika kuat lensa kacamata seseorang adalah 3 dioptri,
maka orang tersebut masih dapat melihat dengan
jelas benda – benda yang terletak di belakang jarak baca normalnya pada
jarak ?
A.
33,33 cm
B.
60 cm
C.
75 cm
D. 100 cm
E.
125 cm
Pembahasan :
Dilihat dari data soal, kuat lensanya 3 dioptri. Berarti
kacamata milik penderita hipermetropi.
Kunci : D
Soal : 10
Seorang kakek memiliki kacamata 3 dioptri,
memeriksakan matanya dan ternyata disarankan agar kakek tersebut mengganti
kacamatanya menjadi 3,5 dioptri. Berapakah pergeseran titik dekat kakek itu?
A.
50 cm
B.
80 cm
C.
100 cm
D. 120 cm
E.
150 cm
Pembahasan :
Sebelum kakek mengganti kacamata,
Pergeseran titik dekat penderita,
= - 100 – ( - 200)
= 100 cm
Kunci : C
BACA JUGA : 30 SOAL LISTRIK STATIS











