SERI - 7 SOAL DAN PEMBAHASAN TEKANAN


Selamat datang di blog saya, 
Pada kesempatan kali ini, saya akan berbagi materi pembelajaran Tekanan. Dimana soal yang saya ambil untuk kita berbagi, saya ambil dari buku Evaluasi Mandiri kelas VIII SMP. 

Pilihan Berganda :

    1.   Berikut ini adalah satuan untuk besaran tekanan, kecuali 
        a.   N/m
        b.   Pa
        c.   atm
        d.   bar

        Kunci : a
 
    2.   Seseorang yang menyelam pada kedalaman 30,0 meter 
        dari permukaan air laut. Akan merasakan sesak karena …
        a.   Air yang mendesak terlalu luas
        b.   Semakin ke dalam tekanan air semakin besar
        c.   Terlalu lama di dalam air
        d.   Suhu air di dalam rendah

        Kunci : b 

    3.   Perhatikan gambar di bawah ini.


        Tekanan hidrostatis pada titik P dan Q,
        a.   Tekanan di titik P lebih besar daripada tekanan di titik Q, 
            karena titik Q lebih dalam dibandingkan dengan P
        b.   Tekanan di titik P lebih besar daripada tekanan di titik Q 
            karena titik P lebih dangkal dibandingkan dengan titik Q
        c.   Tekanan di titik P lebih kecil daripada tekanan di titik Q 
            karena titik P lebih dangkal dibandingkan dengan titik Q
        d.   Tekanan di titik P sama dengan tekanan di titik Q 
            karena berada di dalam zat cair yang sama. 
    

        Kunci : c 

    4.   Tekanan yang diberikan pada zat cair dalam ruang tertutup 
        diteruskan ke segala arah dengan sama kuat. 
        Hukum ini pertama kali dinyatakan oleh …
        a.   Newton
        b.   Pascal
        c.   Archimedes
        d.   Torriceli

        Kunci : b
     
    5.   Sebuah balok terletak pada meja. Tekanan yang diberikan balok 
        pada meja dapat diperbesar dengan cara …
        a.   Memperkecil massa balok dan memperkecil luas alas 
            balok yang bersentuhan dengan meja
        b.   Memperkecil massa balok dan memperbesar luas alas 
            balok yang besentuhan dengan meja
        c.   Memperbesar massa balok dan memperbesar luas alas 
            balok yang besentuhan dengan meja.
        d.   Memperbesar massa balok dan memperkecil luas alas 
            balok yang bsentuhan dengan meja.
         
            Kunci : d
         
    6.   Tekanan pada titik dalam suatu zat cair
        (1) Bertambah jika kedalamannya bertambah
        (2) Bertambah jika massa jenis zat cair bertambah
        (3) Lebih besar ke arah vertikal daripada ke arah horizontal

        Pernyataan yang benar.
        a.   (1) dan (2)
        b.   (1) dan (3)
        c.   (2) dan (3)
        d.   (1), (2) dan (3)
     
        Kunci : a
    
    7.   Perhatikan gambar.



        Kubus memiliki rusuk 0,5 m dan berat 75 N. 
        Tekanan yang diberikan terhadap alasnya.
        a.   37,5 Pa
        b.   150 Pa
        c.   300 Pa
        d.   450 Pa

        Kunci : c

    8.   Berat sebuah kubus pada permukaan Bumi adalah 300 N. 
        Jika kubus dibawa ke bulan, yang memiliki 1/6 kali gravitasi Bumi. 
        Maka tekanan yang dimiliki kubus jika dibawa ke Bulan.
        a.   Tekanan tetap
        b.   Tekanan berkurang
        c.   Tekanan bertambah
        d.   Tekanannya mula – mula berkurang lalu bertambah

        Kunci : b
     
        Luas alasnya tetap, dan w = 300 N


        Berarti tekanan berkurang menjadi 1/6 kali 
        tekanan saat di Bumi.
    
    9.   Dua tiang silinder memiliki massa sama dan diameter 
        masing – masing 20 cm dan 10 cm. Jika tekanan oleh 
        tiang besar 500 Pa, tekanan oleh tiang kecil adalah …
        a.   500 Pa
        b.   1 000 Pa
        c.   2 000 Pa
        d.   4 000 Pa

        Kunci : c


10.      Sebuah pipa U mula – mula diisi dengan cairan A 
        (massa jenis 1,2 g/cm3). Ketika kaki kiri pipa diisi dengan 
        cairan B setinggi 3,75 cm. Maka pada permukaan cairan A 
        dalam kaki kiri turun 2,5 cm. sehingga massa jenis cairan B 
        adalah … (dalam satuan g/cm3)
        a.   0,5
        b.   0,6
        c.   0,8
        d.   1,0

            Kunci : c
    
        11.       Berat sebuah benda di udara 4,9 N. Bila ditimbang 
                di dalam minyak tanah (massa jenis 0,8 g/cm3
                beratnya menjadi 4,74N. Maka gaya ke atas yang 
                dialami benda tersebut adalah …
                a.   0,16 N
                b.   1,60 N
                c.   9,80 N
                d.   16,0 N
 
            Kunci : a

    12.       Ketika kubus dengan rusuk 5 cm dicelupkan dalam air, 
            kubus tersebut melayang di dalam air. Maka massa 
            balok tersebut adalah … (dalam satuan gram).
            a.   50
            b.   75
            c.   100
            d.   125

            Kunci : d

            Melayang, berarti massa jenis kubus sama dengan 
            massa jenis air. 



    13.      Berat suatu benda di udara 400 N dan berat 
            ketika tercelup seluruhnya dalam air adalah 332 N. 
            Gaya apung yang dialami benda jika seperempat 
            bagian benda muncul di atas permukaan air adalah…
            a.   16 N
            b.   28 N
            c.   32 N
            d.   51 N
            
            Kunci : d

            Jika seluruhnya tercelup, F : 


        Jika 1/3 muncul di permukaan air, 



        14. Perhatikan daftar benda di bawah ini


    Benda yang melayang di dalam air ?
    a.   Benda P
    b.   Benda Q
    c.   Benda R
    d.   Benda S

    Kunci : c 


        15.  Gejala – gejala alam berikut disebabkan oleh tekanan udara, 
            kecuali
            a.   Angin
            b.   Angin topan
            c.   Pasang – surut
            d.   Cuaca

            Kunci : c 


SERI - 15 SOAL DAN PEMBAHASAN OSN FISIKA

Soal : (OSN Kabupaten)

Seorang anak berjalan menuruni sebuah tangga eskalator yang sedang bergerak turun memerlukan waktu 1 menit. Jika kecepatan berjalanya diduakalikan, maka anak tersebut akan memerlukan waktu 40 detik. Berapa waktu yang diperlukan jika anak tersebut relax (diam).

 

Pembahasan :


Mengamati kejadian soal di atas, terdapat 3 kejadian berbeda. Namun jarak yang ditempuh tetap sama untuk ketiga kejadian tersebut. 


Maka secara matematis dapat kita buat s1 = s2 = s3 = s. Jarak tempuh yang dimaksud sama dengan panjang sisi miring eskalator s.

 
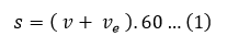
Untuk kejadian pertama, si anak berjalan dengan kecepatan v m/s. Maka persamaannya, 


Saat t1 = 1 menit = 60 detik, 


Untuk kejadian kedua, si anak berjalan dengan kecepatan 2v m/s. Maka persamaannya, 


Saat t2 = 40 detik, 

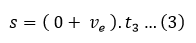
Untuk kejadian ketiga, si anak diam dan tidak berjalan 0 m/s. Maka persamaannya, 


Dimana ve = kecepatan eskalator itu sendiri. 


Selanjutnya subsitusikan persamaan (1) dengan persamaan (2). 



Kedua ruas kiri dan kanan kita bagikan dengan 20, 


Hasil dari persamaan (4) kita subsitusikan ke persamaan (1) atau persamaan (2). Di sini saya mencoba mensubsitusikannya ke dalam persamaan (1). 


Persamaan (5) merupakan jarak, sehingga waktu t3 dapat kita hitung.


Hasil akhir, jika si anak diam saja di eskalator. Si anak memerlukan waktu 2 menit.

 
Soal pembahasan OSN FISIKA di atas pernah dikeluarkan pada tingkat seleksi Kabupaten/kota. 


SERI - 3 OSN MATEMATIKA SMA

Soal : 01

Tentukanlah kedua lingkaran di bawah ini 

berpotongan atau tidak berpotongan.


Pembahasan :
 
Tentukan titik pusat kedua lingkaran dan 
jari – jari lingkaran,
 
Titik Pusat : 


Untuk lingkaran pertama, L1



Untuk lingkaran kedua, L2



Jari – jari, r : 



Jari – jari lingkaran pertama, r1


Jari – jari lingkaran kedua, r2



Jarak antara kedua pusat lingkaran C1C2

Syarat dari dua buah lingkaran yang berpotongan 
adalah : 


Kesimpulannya : kedua lingkaran berpotongan.

Soal : 02

Tentukan persamaan garis singgung pada lingkaran 
(x+2)2+ (y-1)2 = 4, yang tegak lurus dengan garis 
– 3 x + 4y – 1 = 0. 

Pembahasan : 

Menentukan jari – jari lingkaran, 



Menentukan nilai gradient, m1


Nilai m1 = ¾ dan  mOT kita cari dengan menggunakan 
syarat, 

Untuk bersinggungan, 


Bentuk persamaan garis singgung terhadap lingkaran, 


Kedua ruas kiri dan kanan kita kalikan dengan 3. 


Persamaan pertama : 4x + 3y + 5 = 0 
Atau 
Persamaan kedua : 4x + 3y – 15 = 0 


SERI - 8 SOAL DAN PEMBAHASAN ATURAN COSINUS

 Selamat datang di blog saya,

Pada kali ini, kita akan berbagi pengalaman belajar 

dari bukunya Pak Sukino, yaitu Matematika 
wajib kelas X. Materi yang akan kita pelajari, saya ambil 
dari halaman 181. Dan nomor yang saya kutip, 
yakni nomor 11, 12, dan nomor 14.

Ketiga nomor di atas saya ambil, sebabnya tidak lain 

karena rasa ingin berbagi kepada pembaca yang ingin 
mempersiapkan diri untuk menghadapi ujian semesteran, 
atau UAS, atau bahkan yang ingin mengikuti seleksi 
masuk perguruan tinggi Negri.

Saya berharap tulisan ini bermanfaat buat kita semua,

terima kasih.




A.  23                   D. 15

B.  21                   E. 11

C.  17

 

Pembahasan : 


 

Langkah I



Langkah II



Langkah III 



Tinjau ∆DCB, 



Subsitusikan persamaan (1) ke dalam persamaan (3)



Persamaan (2) dan persamaan (4) kita subsitusikan, 



Kedua ruas kiri dan kanan kita bagikan dengan 2, 

sehingga kita peroleh.


Kunci : C 




Pembahasan :

 
Sudut yang berhadapan, jumlah sudutnya 1800.


Tinjau ∆BAD, 



Tinjau ∆BCD, 



Selanjutnya kita subsitusikan persamaan (2) dengan persamaan (3). 



Kunci : C 


Soal : Nomor 14

Nilai cos Ɵ pada gambar berikut adalah …


Kunci : B