SERI - 20 GARIS - GARIS PADA SEGITIGA

Soal : 20
Panjang AD pada gambar di bawah ini adalah …

SERI - 20 GARIS - GARIS PADA SEGITIGA

a.   6,84 cm
b.   6,72 cm
c.   4,8 cm
d.   4,2 cm 

Pembahasan : 


SERI - 20 GARIS - GARIS PADA SEGITIGA

Misalkan,

Panjang BD = p dan panjang CD = q


SERI - 20 GARIS - GARIS PADA SEGITIGA

Subsitusikan pers (1) dengan pers (2), 


SERI - 20 GARIS - GARIS PADA SEGITIGA

Karena, 


SERI - 20 GARIS - GARIS PADA SEGITIGA


Eliminasikan persamaan (4) dan (5), 


SERI - 20 GARIS - GARIS PADA SEGITIGA

Maka tinggi AD, 


SERI - 20 GARIS - GARIS PADA SEGITIGA

Kunci : B











SERI - 21 GARIS - GARIS PADA SEGITIGA

Soal : 21
Diketahui ∆ABC mempunyai panjang AB = 12 cm, BC = 9 cm , dan AC = 10 cm. Jika AE, CD, dan BF merupakan garis tinggi pada masing – masing sisi segitiga ABC, maka CD : AE : BF = …

SERI - 21 GARIS - GARIS PADA SEGITIGA
 

a.   18 : 15 : 20

b.   15 : 20 : 18

c.   12 :   9 : 10

d.     9 : 12 : 10

 

Pembahasan :

 

AB = 12 cm, BC = 9 cm , dan AC = 10 cm

 

Maka perbandingan tinggi CD : AE : BF dapat ditentukan. 


SERI - 21 GARIS - GARIS PADA SEGITIGA


Kunci : B 



Garis – Garis pada Segitiga

BAB 6 Garis – Garis pada Segitiga

 

Daftar isi :

1.   Proyeksi

2.   Proyeksi Garis pada Segitiga

3.   Panjang Garis Tinggi pada Segitiga

4.   Dalil Steward

5.   Panjang Garis Berat pada Segitiga

6.   Garis Bagi

 

Selamat datang di blog saya,
Pada kesempatan kali ini, saya akan berbagi materi “Garis – Garis pada Segitiga”. Semoga pengalaman berbagi ini dapat memberikan manfaat buat kita semua, terima kasih.

 

1.   Proyeksi

Proyeksi adalah bayangan sinar datang dan bidang datar proyeksi selalu tegak lurus.

 

           


 gambar proyeksi

 

Berdasarkan gambar di atas :

Titik A’ adalah proyeksi titik A pada bidang datar dan AA’ tegak lurus pada bidang datar.

Titik B’ adalah proyeksi titik B pada bidang datar dan BB’ tegak lurus pada bidang datar.

Dengan demikian, A’B’ adalah proyeksi garis dari AB pada bidang datar.

 

2.   Proyeksi Garis pada Segitiga


  
 
proyeksi pada segitiga



Proyeksi garis AC pada sisi AB adalah AD, sedangkan BD adalah proyeksi dari garis BC pada sisi AB.
  

 

Rumus panjang proyeksi :

 

rumus proyeksi pada segitiga

Catatan :

Sisi c adalah sisi proyeksi (tempat bayangan), sehingga panjang proyeksi dirumuskan sebagai : jumlah kuadrat sisi pengapit dari sudut yang ada pada sisi proyeksi dikurangi kuadrat sisi ketiganya ( di depan sudut tersebut), kemudian hasilnya dibagi dua kali panjang sisi proyeksi.

 

 

3.   Panjang Garis Tinggi pada Segitiga

 

Garis tinggi segitiga adalah garis yang tegak lurus sisi segitiga. Panjang garis – garis tinggi dalam sebuah segitiga berbanding terbalik dengan panjang sisi – sisi alasnya.

 

Pada ∆ABC berlaku :

 
tinggi pada segitiga

 

4.   Dalil Steward

Misalnya titik D pada sisi AB sehingga garis CD membagi AB menjadi c1 : c2.

Panjang CD dapat dihitung dengan menggunakan rumus :

 

 

Dalil Steward


5.   Panjang Garis Berat pada Segitiga

 

Garis berat adalah garis yang membagi dua sama panjang sisi di depannya. Jika CD adalah garis berat, maka c1 : c2 = ½ c. Berdasarkan dalil Steward, maka panjang garis berat ditentukan dengan rumus :

 

garis berat

 

6.   Garis Bagi

Garis bagi adalah garis yang membagi sudut menjadi 2 bagian sama besar. 


SERI - 6 KINETIK GAS

Soal : 6

Sebuah tangki bervolume 580 liter berisi gas oksigen pada suhu 20oC dan tekanan 6 atm. Tentukan massa oksigen dalam tangki itu. (jika M = 32g/mol massa molekul relatif O2)
 
Penyelesaian : 

SERI - 6 KINETIK GAS


SERI - 5 KINETIK GAS

Soal : 5
Suatu gas memiliki data sebagai berikut : tekanan = P ; volume = V ; suhu mutlak = T ; berat molekul = M, maka massa jenis gas tersebut adalah …

A

Penyelesaian : 


B

Kunci : E



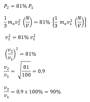
SERI - 4 KINETIK GAS

Soal : 4

Tekanan gas dalam tabung menurun 81% dari harga semula. Apakah pengaruh perubahan ini pada kelajuan molekul gas.

 

Penyelesaian : 

SERI - 4 KINETIK GAS


Artinya kecepatan turun 90% dari kecepatan semula.


SERI - 3 KINETIK GAS

Soal : 3

Sebuah silinder mengandung 20 liter gas pada tekanan 25 x 105 Pa. Keran yang ada pada silinder dibuka sampai tekanan turun menjadi 20 x 105 Pa dan kemudian ditutup. Anggap bahwa suhu dijaga tetap. Berapa volume gas yang dibebaskan pada atmosfer bertekanan 1,0 x 105 Pa.

 

Penyelesaian :

 

Diketahui,

Tekanan awal, P1 = 25 x 105 Pa dan volume awal, V1 = 20 L

Tekanan akhir, P2 = 20 x 105 Pa

Tekanan yang dibebaskan, P3 = 1,0 x 105 Pa.

 

Ditanya,

Volume gas yang dibebaskan, ∆V = … ?

 

Peny : 


SERI - 3 KINETIK GAS


SERI - 2 KINETIK GAS

Soal : 2
Seorang petugas BMG mendapatkan situasi, ketika h = 50 mm dan volume V = 18 cm3. Dan kemudian ketika h = 150 mm dan volumenya V = 16 cm3. Tentukanlah tekanan udara saat itu di tempat petugas BMG sedang melakukan tugasnya mengamati cuaca. Dalam satuan mmHg.

A

Penyelesaian :

B