SERI PEMBAHASAN EKSPONEN 2


Soal : 02
Bentuk sederhana dari


Pembahasan : 


Kunci : E 

SERI PEMBAHASAN EKSPONEN 1

Soal : 01
Bentuk sederhana dari


Pembahasan : 


Kunci : A 

ALJABAR - 1


 
A.    Pangkat, akar, dan logaritma
1. Pangkat bulat positip

 

Jika a ϵ R dan n > 1, n ϵ A,

Maka an = a x a x a x a x a x … a

 

Sebanyak n kali

Bilangan pokok = a

Bilangan pangkat / eksponen = n

 

Sifat – sifat eksponen bulat positip

Jika a dan b bilangan real, m dan n bilangan

Bulat positip

·   am x an = am+n
·   am: an = am – n
·   (am)n= a m x n
·   (a.b)m= am x bm
·   (a/b)m= am / bm

 

2. Pangkat bulat negatip dan rasional

 



 Bilangan rasional, yaitu bilangan yang dapat dinyatakan dengan bentuk pecahan a/b.

 

3. Bentuk akar

 

Bentuk akar adalah bilangan – bilangan di bawah akar yang hasilnya merupakan

bilangan irasional.

 

Sifat – sifat bentuk akar




















 

4.  Merasionalkan penyebut

 











 

5.  Logaritma

 

Logaritma adalah kebalikan dari perpangkatan (eksponen). Jadi apabila diketahui  ax = b, maka x dapat ditentukan dengan menggunakan logaritma.  

 

BU : ax = b à x = alog b

 

Dimana :

a = bilangan pokok (basis) a > 0 dan a 1

b = hasil eksponensial b > 0

 

sifat – sifat logaritma

jika a, b, c, dan p bilangan real yang memiliki sifat a > 0, b > 0, p > 0 dan p 1, maka berlaku :

 

·        plog b = x, maka px = b

·        plog ab = plog a + plog b

·        plog (a/b) = plog a – plog b

·        plog an = n.plog a

·        plog a.alog b = plog b

·        alog b = plog b / plog a

·        plog 1 = 0

·        plog p = 1

·        plog pn = n

  




Berikut ini saya tampilkan beberapa contoh soal yang disertai pembahasannya, dan semoga bermanfaat untuk menambahkan pemahaman kita. terima kasih 

Contoh soal dan Pembahasan

Soal : 01
Bentuk sederhana dari


Pembahasan : 


Kunci : A

Soal : 02
Bentuk sederhana dari


Pembahasan : 


Kunci : E 

Soal : 03
Hasil dari 


Sama dengan …
A.    1
B.     2
C.     3
D.    4
E.     5

Pembahasan : 


Kunci : C 

Soal : 04
Diketahui 2log 3 = x dan 2log 10 = y, maka nilai dari 6log 120 adalah … 


Pembahasan : 


Kunci : A 

  

SERI PEMBAHASAN EKSPONEN 2

Soal :
Selesaikan persamaan eksponensial dua variabel 
di bawah ini, kemudian tuliskan 
himpunan penyelesaiannya.

Pembahasan : 



Catatan :

Soal ini saya kutip dari buku Matematika kelas X SMA, 
karya Sukino. Terdapat ada kesalahan sedikit, 
yakni 3x + y . Disini kita akan merubah y menjadi 1. 
Jika tidak kita rubah, maka sangat sulit untuk 
mendapatkan penyelesaiannya. 

Misalkan a = 3x dan b = 2y,


Kemudian yang berikutnya, 



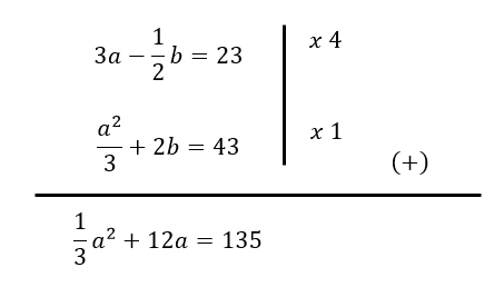
Selanjutnya kedua persamaan kita eliminasikan, 



Kemudian ruas kiri dan kanan kita kali 3, 



Karena – 45 tidak memenuhi, 

kita cukup mengambil
Nilai a = 9 saja, 


Lalu kita dapat menentukan nilai y, 



Maka himpunan penyelesaiannya, 









SERI PEMBAHASAN EKSPONEN 1

Soal :

Selesaikan persamaan eksponensial dua variabel 
di bawah ini,kemudian tuliskan himpunan 
penyelesaiannya. 


Pembahasan 



Di sini 23x – y bisa kita coret, 



Basis di kiri dan kanan kita coret, 



Ruas kiri dan kanan kalikan dengan 5, 



Perhatikan pangkat 5y – x , rubah menjadi 5– ( x – y ) .
 
Dan misalkan a = 5x – y


Ruas kiri dan kanan kalikan dengan a, sehingga 


Dan,


Eliminasi persamaan (1) dengan persamaan (2),



Lalu kita tentukan nilai y, 


lalu subsitusikan persamaan (3) ke persamaan (1)


Tentukan nilai y dengan mensubsitusikan nilai x ke
Persamaan (1). 


Sehingga kita memperoleh nilai himpunan penyelesaian

 



SERI 3 : PEMBAHASAN GMB

Gerak Melingkar Beraturan (GMB) 


Soal :

Sebuah benda bergerak dengan kecepatan linier 4 m/s. Jika radius benda 40 cm, maka kecepatan sudut dan percepatan sentripetal …

A.  10 rad/s, 40 m.s – 2

B.  10 rad/s, 20 m.s – 2

C.  20 rad/s, 10 m.s – 2

D.  10 rad/s, 10 m.s – 2

E.  40 rad/s, 10 m.s – 2

 

Pembahasan :

 

Kecepatan linier, v = 4 m/s

Radius benda, R = 40 cm = 0,4 meter

 

Kecepatan sudut putaran benda, 


gambar 1


Percepatan sentripetal, 



gambar 2


Kunci : A