google-site-verification=ne6G5Vr6nbD8EHcN8bwnfb0Wd2QIbpMNrb27Dl6jG4o ALJABAR - 1 ~ ULIMORANGKIR

ALJABAR - 1


 
A.    Pangkat, akar, dan logaritma
1. Pangkat bulat positip

 

Jika a ϵ R dan n > 1, n ϵ A,

Maka an = a x a x a x a x a x … a

 

Sebanyak n kali

Bilangan pokok = a

Bilangan pangkat / eksponen = n

 

Sifat – sifat eksponen bulat positip

Jika a dan b bilangan real, m dan n bilangan

Bulat positip

·   am x an = am+n
·   am: an = am – n
·   (am)n= a m x n
·   (a.b)m= am x bm
·   (a/b)m= am / bm

 

2. Pangkat bulat negatip dan rasional

 



 Bilangan rasional, yaitu bilangan yang dapat dinyatakan dengan bentuk pecahan a/b.

 

3. Bentuk akar

 

Bentuk akar adalah bilangan – bilangan di bawah akar yang hasilnya merupakan

bilangan irasional.

 

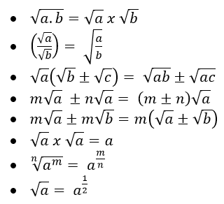
Sifat – sifat bentuk akar




















 

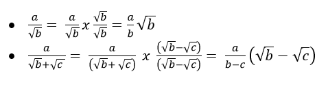
4.  Merasionalkan penyebut

 











 

5.  Logaritma

 

Logaritma adalah kebalikan dari perpangkatan (eksponen). Jadi apabila diketahui  ax = b, maka x dapat ditentukan dengan menggunakan logaritma.  

 

BU : ax = b à x = alog b

 

Dimana :

a = bilangan pokok (basis) a > 0 dan a 1

b = hasil eksponensial b > 0

 

sifat – sifat logaritma

jika a, b, c, dan p bilangan real yang memiliki sifat a > 0, b > 0, p > 0 dan p 1, maka berlaku :

 

·        plog b = x, maka px = b

·        plog ab = plog a + plog b

·        plog (a/b) = plog a – plog b

·        plog an = n.plog a

·        plog a.alog b = plog b

·        alog b = plog b / plog a

·        plog 1 = 0

·        plog p = 1

·        plog pn = n

  




Berikut ini saya tampilkan beberapa contoh soal yang disertai pembahasannya, dan semoga bermanfaat untuk menambahkan pemahaman kita. terima kasih 

Contoh soal dan Pembahasan

Soal : 01
Bentuk sederhana dari


Pembahasan : 


Kunci : A

Soal : 02
Bentuk sederhana dari


Pembahasan : 


Kunci : E 

Soal : 03
Hasil dari 


Sama dengan …
A.    1
B.     2
C.     3
D.    4
E.     5

Pembahasan : 


Kunci : C 

Soal : 04
Diketahui 2log 3 = x dan 2log 10 = y, maka nilai dari 6log 120 adalah … 


Pembahasan : 


Kunci : A 

  

0 comments:

Posting Komentar

Silahkan Berkomentar dengan Bijak sesuai dengan semangat kemajuan yang membangun Blog ini dan Jangan keluar dari topik