SERI OSN : BOLA JATUH MEMANTUL BERULANG KALI

Soal : OSP 2009
Sebuah bola pada ketinggian h dari permukaan ditembakkan secara horizontal dengan kecepatan v0. Bola mengenai lantai dan memantul kembali. Proses tumbukkan tersebut berlangsung elastik sebagian dengan koefisien restitusi e. Bola akan terus memantul berkali – kali sampai akhirnya tidak dapat memantul lagi. Tentukan kapan (T) ini terjadi. Berapakah jarak horizontal L yang ditempuh bola sampai keadaan ini? (catatan : percepatan gravitasi bumi adalah g. Anggap bola merupakan massa titik, gesekkan udara dan gesekan dengan lantai diabaikan).
 
Pembahasan :
 


 

 

 

 

 

 

 

 

Tinjau gerak bola dari ketinggian h menuju titik jatuh A.

Gerak bola pada sumbu X merupakan gerak GLB sehingga v0x = v0 dan besarnya selalu tetap. Sementara gerak bola pada sumbu Y merupakan GLBB dengan v0y = 0 dan percepatan ay = – g m/s2. Dan waktu menurun membutuhkan waktu t0A =t.


 









Kecepatan bola tiba di A pada sumbu Y,


 







Tinjau tumbukan antara bola dengan lantai, perhatikan saat terjadi tumbukan. Kecepatan berarah normal terhadap lantai saja yang berubah.

 


Sebelum dan sesudah tumbukan, kecepatan lantai vyLantai tidak bergerak (v’yLantai = vyLantai = 0).

 


Substitusikan nilai vyBola  dari pers (2) ke dalam pers (3).





Dimana v’yBola = v’Ay = e√2gh dan dengan mengingat sifat simetris parabola, maka dapat mengeneralkan semuanya terhadap semua titik – titik yang dilalui bola.


 





Mari kita hitung tAB dan tBC :



 






Untuk tAB :

 


Untuk tBC :


 


 

Dan seterusnya

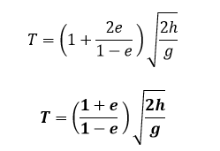
Sehingga total waktu T :




 


 



Perhatikan 2e + 2e2 + … merupakan bentuk deret Geometri dengan suku pertama U1 = a = 2e dan rasionya r = e, sehingga dapat kita peroleh bentuk deret geometrinya sbb :

 



 

Jadi total waktunya T :








Jarak horizontal yang ditempuh L :