Tahun Pelajaran : 2024/2025
Kunci : b
a. Frekuensi f = 1,5 Hz
dan periode T = 0,67 sekon
b. Frekuensi f = 2 Hz
dan periode T = 0,5 sekon
c. Frekuensi f = 0,5 Hz
dan periode T = 2 sekon
d. Frekuensi f = 3 Hz dan periode T = 0,33 sekon
Pembahasan :
Banyak getaran, n = 60 kali
a. 1 sekon dan 16 cm/s
b. 1 sekon dan 32 cm/s
c. 2 sekon dan 32 cm/s
d. 2 sekon dan 48 cm/s
Pembahasan
:
Banyak
gelombang yang terjadi dari A sampai ke I, n = 2 dan waktu gelombang, t = 4
sekon. Maka periode gelombang, T dapat kita hitung.
Panjang
gelombang, λ :
ó xAF = n.λ
ó
80 cm = 5/4. Λ
ó λ = 64 cm
Maka
cepat rambat gelombang, v :
Kunci : c
Soal : 6
Bandul
A bergetar dengan periode 25 sekon dan amplitudo 20 cm. Bandul B bergetar
dengan periode 40 sekon dan amplitudo 35 cm. Perbandingan frekuensi bandul A
dan B adalah …
a. 7 : 4 c. 8 : 4
b. 7 : 5 d. 8 : 5
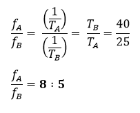
Pembahasan
:
Periode
bandul A, TA = 25 sekon dan amplitudo bandul AA = 20 cm dan
periode bandul B, TB = 40 sekon dan amplitudo bandul AB =
35 cm. Periode tidak ada hubungan dengan amplitudo, sehingga nilai perbandingan
frekuensi dapat kita hitung.
Kunci : d
Soal : 7
Bunyi
ultrasonik dengan frekuensi 25.000 Hz digunakan untuk mengukur kedalaman laut.
Pantulan gelombang terukur dalam waktu 16 sekon dan diketahui kedalaman laut 12
km. Panjang gelombang ultrasonik yang digunakan adalah …
a. 0,04 meter c. 0,4 meter
b. 0,06 meter d. 0,6 meter
Pembahasan
:
Kita
hitung cepat rambat gelombang bunyi, v :
Maka
panjang gelombang ultrasonik, λ :
Kunci : b
Soal : 8
Gelombang
air diberi usikan sehingga terbentuk 3 lembah dan 4 puncak gelombang sepanjang
1,4 meter. Jika kecepatan gelombang 4,8 m/s, dalam satu sekon akan terbentuk ….
a. 10 gelombang c. 14 gelombang
b. 12 gelombang d. 16 gelombang
Pembahasan
:
Panjang
gelombang, λ :
Periode
gelombang, T :
Dengan
menginggat rumus periode, T :
Maka
dalam satu sekon terdapat 12 gelombang.
Kunci : b
Soal : 9
Sebuah
pegas digetarkan sehingga pegas tersebut memiliki 4 rapatan dan 3 reggangan.
Pegas tersebut memiliki panjang 7 meter. Penjelasan yang benar berdasarkan
penjelasan tersebut adalah …
a. Pegas memiliki 2,5
gelombang
b. Panjang gelombang
pegas sebesar 1,5 meter.
c. Jika cepat rambat
gelombang pegas sebesar 14 m/s, frekuensi pegas sebesar 7 Hz.
d. Jika frekuensi pegas
sebesar 8 Hz, cepat rambat gelombang pegas 15 m/s.
Pembahasan :
Dari gambar di atas pegas memiliki banyak gelombang (n = 3,5 gelombang).
Panjang gelombang,
Frekuensi gelombang,
Dari pembahasan terlihat opsi c yang benar.
Kunci : c
Soal : 10
Panjang
gelombang dan frekuensi beberapa gelombang disajikan dalam tabel berikut.
|
Gelombang |
λ (cm) |
f (Hz) |
|
I |
60 |
20 |
|
II |
50 |
15 |
|
III |
80 |
30 |
|
IV |
100 |
5 |
Pernyataan
yang benar terkait data di atas adalah …
a. Gelombang dengan
cepat rambat terkecil adalah gelombang I.
b. Gelombang dengan
cepat rambat terbesar adalah gelombang II.
c. Gelombang I memiliki
cepat rambat lebih kecil dari gelombang III.
d. Gelombang IV memiliki
cepat rambat lebih besar dari gelombang II.
Pembahasan :
Rumus cepat rambat gelombang, v = f.λ
· Gelombang I :
Kita simpulkan,
· Cepat rambat gelombang terkecil adalah gelombang IV.
· Cepat rambat gelombang terbesar adalah gelombang III.
· Cepat rambat gelombang I lebih kecil dari cepat rambat
gelombang III.
· Cepat rambat gelombang IV lebih besar dari pada cepat rambat
gelombang II.
Kunci : c






0 comments:
Posting Komentar
Silahkan Berkomentar dengan Bijak sesuai dengan semangat kemajuan yang membangun Blog ini dan Jangan keluar dari topik