Soal :
Perhatikan
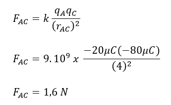
gambar di bawah ini, muatan di A = -20 µC,
di B = + 60 µC dan di C = -80 µC. Gaya
coulomb pada A
adalah ........ N.
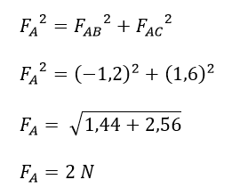
Sudut
antara FAC dengan FAB adalah tegak lurus, Ɵ=900.
Hitung
terlebih dahulu masing – masing gaya statisnya.
Antara
muatan A dengan B,






So usefull👍🏻 keep your spirit up🔥🔥🔥
BalasHapusIngin memastikan min, apakah ini termasuk materi smp dulu ya tentang hukum coulomb?
BalasHapusIni sma punya ya , terima kasih
Hapus