google-site-verification=ne6G5Vr6nbD8EHcN8bwnfb0Wd2QIbpMNrb27Dl6jG4o PANGKAT TAK SEBENARNYA (Fungsi dan Persamaan Eksponen/Logaritma) ~ ULIMORANGKIR

PANGKAT TAK SEBENARNYA (Fungsi dan Persamaan Eksponen/Logaritma)

Tujuan Instruksional Utama (TIU)
Siswa memahami berbagai sistem bilangan serta dapat 
menerapkannya baik dalam Matematika, mata pelajaran lain, 
maupun dalam kehidupan sehari – hari.
 
Daftar Isi :
PANGKAT TAK SEBENARNYA
(Fungsi dan Persamaan Eksponen/Logaritma)

1.  Pangkat tak sebenarnya

1.1.    Eksponen Bulat Positip

1.2.    Eksponen Bulat Negatip dan Nol

1.3.    Eksponen Rasional

 

2.  Bilangan Irasional dan Bentuk Akar

2.1.    Menyederhanakan Bentuk – Bentuk Akar

2.2.    Merasionalkan Penyebut Pecahan

 

 

1. Pangkat Tak Sebenarnya

 

Istilah “Bilangan berpangkat” dipergunakan untuk bilangan yang 
ditulis dalam bentuk an . Dimana a merupakan bilangan pokok 
dan n merupakan bilangan pangkatnya. Bilangan pokok 
pada bilangan berpangkat merupakan anggota bilangan real. 
Sedangkan bilangan pangkatnya (eksponen) boleh bernilai 
negatip, nol, dan positip.

 

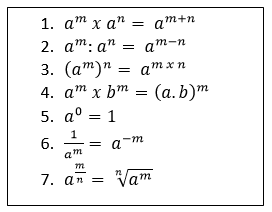
Sifat – sifat dasar bilangan berpangkat.














 


1.1.  Eksponen Bulat Positip

 















 

1.2.  Eksponen Bulat Negatip dan Nol



 









1.3.  Eksponen Rasional
Dengan mengasumsikan bahwa semua sifat – sifat 
dasar yang berlaku pada bilangan berpangkat positip 
berlaku juga pada bilangan berpangkat rasional.

 

Contoh : 1

Perhatikan bilangan berpangkat a1/2 sama dengan …

 





 

Contoh : 2

Perhatikan bilangan berpangkat a3/2 sama dengan …

 





 


Contoh soal :

 

Conso : 1

Persamaan (8x)2 = 16, hanya dipenuhi jika x sama dengan …

A.  ½

B.  2

C. 

D. 2/3

E.  ¼


 

Pembahasan 1 :





 



Terlihat sisi kanan dan kiri memiliki bilangan faktor 2, 
dimana 8 bisa dibagi 2 dan 16 juga bisa dibagi dengan 2.









Bilangan pokok 2 yang berada di kedua sisi kanan dan kiri, 
kita coret. Sehingga terbentuk persamaan berikut ini.

 





Kunci : D

 

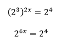
Conso : 2

Harga x yang memenuhi persamaan

 





 


adalah …

A.  2

B.  5

C.  9/5

D. – 9/5

E.  2/5

 

Pembahasan 2 :

 





 



Perhatikan persamaan di atas, kedua sisinya kita ubah 
menjadi persamaan berpangkat yang memiliki basis 
(bilangan pokok) 2.

 


 
















Kunci : D

 

2. Bilangan Irasional dan Bentuk Akar

 

Kita telah mempelajari sistem – sistem bilangan berikut.
1. Sistem bilangan Asli, A = {1,2,3,..}
2. Sistem bilangan Cacah, C = {0,1,2,3,…}
3. Sistem bilangan Bulat, B = {…, - 2, - 1, 0, 1, 2, …}
4. Sistem bilangan Rasional Q yang terdiri dari atas 
    himpunan bilangan bulat dan himpunan bilangan pecahan.
5. Sistem bilangan real R

 

 

Semua sistem bilangan di atas tertutup operasi penjumlahan 
dan perkalian. Dan juga berlaku hukum – hukum komutatif dan 
asosiatif pada operasi penjumlahan dan perkalian. 
Serta hukum distributif perkalian terhadap penjumlahan.

 

Di bawah ini diagram venn yang memperlihatkan hubungan 
sistem – sistem bilangan tersebut di atas.

















Bilangan rasional ialah bilangan yang dapat ditulis dalam 
bentuk a/b, dimana b ≠ 0 ; a, b є {bilangan bulat}.

 

Contoh :

Semua bilangan – bilangan di bawah ini merupakan bilangan 

rasional 0, 2, 5, 2/3, 3/8 dan seterusnya. Sebab :

  • 0 = 0/1 atau 0/2
  • 2 = 2/1 atau 4/2

Dan seterusnya.

 

Bilangan Irasional adalah bilangan real yang tidak merupakan 
bilangan rasional, yaitu bilangan – bilangan yang tidak dapat 
ditulis dalam bentuk a/b.

 

Conso : 3

Di bawah ini yang merupakan bilangan rasional










Pernyataan yang benar ….

A.  1, 2, dan 3

B.  1 dan 3

C.  2 dan 4

D. hanya 4

E.  semua benar

 

pembahasan 3 :














Maka pernyataan yang benar (1) dan (3).

 

Kunci : B

 

  

2.1.  Menyederhanakan bentuk – bentuk akar

√a x √b = √ab, a > 0 dan b > 0

 

Contoh :

Sederhanakan √32

 

Pembahasan :

= √32

= √16 x √2

= 4 x √2

= 4√2

 

Contoh :

Sederhanakan √588

 

Pembahasan :

=√588

=√72 x 22 x 3

=14√3

 

Contoh :

Sederhanakan 2√3 - 5√3 + 7√3

 

Pembahasan :

= 2√3 - 5√3 + 7√3

= (2 – 5 + 7 )√3

= 4√3

 

Contoh :

Sederhanakanlah √2 x √6

 

Pembahasan :

= √2 x √6

= √12

= √4 x 3

= 2√3

 

Contoh :

Sederhanakanlah √2(3 - 2√2)

 

Pembahasan :

= √2(3 - 2√2)

= 3√2 – (2√2)√2

= 3√2 – 4

 

 

Contoh :

Sederhanakanlah (√2 - √3)(√2 + √6)

 

Pembahasan :

= (√2 - √3)(√2 + √6)

= √2.√2 + √2.√6 - √2.√3 - √3.√6

= √4 + √12 - √6 - √18

= 2 + 2√3 - √6 - 3√2

= 2(1 + √3) - √6 - 3√2

 

 

2.2.  Merasionalkan penyebut pecahan

2.2.1.    Bentuk







 

Contoh :

Rasionalkan penyebut pecahan dari

 




















 


2.2.2.    Bentuk




 




Contoh :

Rasionalkan penyebut pecahan






















 

2.2.3.    Bentuk


 





























 

Contoh :

Rasionalkanlah penyebut pecahan dari











 

 

 

 

 

 

 

 

 

 

0 comments:

Posting Komentar

Silahkan Berkomentar dengan Bijak sesuai dengan semangat kemajuan yang membangun Blog ini dan Jangan keluar dari topik