1.
Sistem Persamaan Linear Tiga Variabel
Setiap persamaan
yang berbentuk : ax + by + cz = d. Dengan a, b, c, dan d adalah konstanta. Dan
a, b, dan c tidak sama dengan nol, maka persamaan tersebut dinamakan “Persamaan linear tiga variabel”.
Himpunan titik – titik yang memenuhi persamaan tersebut, yaitu {(x,y,z) | ax +
by + cz = d} adalah suatu bidang datar dalam sumbu – sumbu ortogonal x, y, dan
z.
Bentuk umum sistem
persamaan linear dengan tiga variabel :
Yang hanya
mempunyai satu penyelesaian untuk x, y, dan z, yaitu {x,y,z}.
2.
Menyelesaikan Sistem Persamaan Linear Tiga Variabel
Untuk mencari
penyelesaiannya, serupa dengan persamaan linear dua variabel, yaitu menggunakan
metode Subsitusi dan Eliminasi.
2.1
Metode Substitusi
Penyelesaian
sistem persamaan linear tiga variabel (dalam variabel – variabel x, y, dan z)
dengan menggunakan metode substitusi ditentukan melalui langkah – langkah
sebagai berikut.
iv. Substitusikan dua nilai variabel yang diperoleh pada langkah 3
ke salah satu persamaan semula untuk memperoleh nilai
variabel yang ketiga.
2.2
Metode Eliminasi
Penyelesaian sistem
persamaan linear tiga variabel (dalam variabel – variabel x, y, dan z) dengan
menggunakan metode eliminasi ditentukan melalui langkah – langkahnya sebagai berikut :
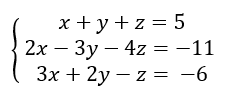
Contoh :
Selesaikan sistem
persamaan linear di bawah ini dengan metode eliminasi.
Pembahasan :
Setelah mendapatkan
nilai x = 2, langkah berikutnya memasukan nilai x ke dalam persamaan (4) atau
persamaan (5). Kita pilih persamaan (4) saja dan mensubstitusikan nilai x ke
dalam persamaan (4).
Setelah kita
peroleh nilai x dan z, yang tersisa adalah variabel y. Selanjutnya kita memilih
persamaan (1) atau persamaan (2) atau persamaan (3), untuk mendapatkan nilai y.
Kita memilih persamaan (1) saja.
Himpunan penyelesaian,
HP = {2, 3, 4}
3.
Uji Kompetensi
Pilihlah satu jawaban yang
benar
1. Himpunan penyelesaian dari x + y + z = 4 ;
4x + 2y – 0,5z = – 1,5 ; 2x – 3y – 3z = – 17
A. {– 3, 5, 2}
B. {– 1, 2,– 3}
C. {– 1, 2, 3}
D. {1, 8, – 5}
E. {3, 2. – 1}
2. Diketahui sistem persamaan x + y + 2z = 6 ;
A. – 16
B. – 4
C. 4
D. 8
E. 16
3. Diketahui sistem persamaan :
Nilai x yang
memenuhi adalah …
A. 4
B. 6
C. 8
D. 10
E. 12
4. Nilai x + y + z , jika diketahui 2x + y – 3z = 3 ;
x – y + 5z = – 2 ; 2x
+ 2y – z = – 1 adalah …
A. – 4
B. – 3
C. – 2
D. – 1
E. 2
5. Parabola y = ax2 + bx + c melalui titik (1,0),(– 3, 16),
A. y = x2 – 2x + 1
B. y = x2 – 2x + 2
C. y = x2 + 2x – 1
D. y = x2 + 2x – 3
E. y = x2 + 3x – 4
6. Nilai x yang memenuhi sistem persamaan
adalah …
A. – 3
B. – 2
C. – 1
D. 1
7. Himpunan penyelesaian sistem persamaan
adalah {(a, b,
c)}. Nilai a x b x c = …
A. 36
B. 35
C. 30
D. – 30
E. – 36
8. Sistem persamaan
A. { 1, - 1, 2}
B. { 3, 2, - 3}
C. { - 3, 1, 4}
D. { 4, - 1, - 1}
E. { 2, - 1, 1}
9. Diketahui sistem persamaan
Nilai x + 2y – 3z
= …
A. – 5
B. – 3
C. – 1
D. 3
E. 5






0 comments:
Posting Komentar
Silahkan Berkomentar dengan Bijak sesuai dengan semangat kemajuan yang membangun Blog ini dan Jangan keluar dari topik