Pilihan Berganda
1. Benda A menolak benda B, benda B menarik benda C, dan benda C menarik
benda D.
Benda C bermuatan positif maka ……
A. benda A positif, B negatif, dan D positif.
B. benda A negatif, B positif, dan D positif.
C. benda A positif, B positif, dan D negatif.
D. benda A negatif, B negatif, dan D negatif.
Pembahasan :
Merah = tolak menolak, berarti muatan sejenis
Biru = tarik menarik, berarti muatan berbeda jenis
Dari soal diberikan muatan C positip, maka D negatip
B tarik – menarik dengan C (positip), maka B negatip
A tolak – menolak dengan B (negatip), maka A negatip
Kunci : D
2. Berikut ini adalah beberapa metoda untuk memberikan muatan pada suatu
benda, kecuali ..........
A. metoda gesekan
B. metoda konduksi
C. metoda induksi
D. metoda isolasi
Kunci : D
3. Yang dimaksud dengan induksi listrik adalah …..
A. pemberian muatan listrik pada sebuah benda netral.
B. pemisahan muatan listrik positif dan muatan negatif pada sebuah benda
karena didekati oleh benda lain yang bermuatan.
C. pengurangan muatan listrik pada sebuah benda.
D. penetralan sebuah benda yang bermuatan listrik
Pembahasan :
Saat benda bermuatan positip (+) didekatkan terhadap benda netral. Hasilnya benda netral tadi berubah dengan keadaan muatannya terdistribusi terpisah. Bagian negatip berada pada sisi kiri benda netral, sebab benda yang mendekatinya bermuatan positip. Sedangkan sisi kanan benda netral terdistribusi muatan positip, sebab muatannya sejenis dengan benda yang mendekati benda netral tersebut.
Catatan : benda netral bukan berarti tidak bermuatan, benda netral karena jumlah muatan positip dengan negatipnya sama.
Kunci : B
4. Kumpulan zat yang termasuk konduktor adalah .......
A. tembaga, aluminium, dan plastik
B. tembaga, seng, dan karet
C. perak, aluminium, dan seng
D. tembaga, karet, dan seng
Pembahasan :
Secara umum yang tergolong konduktor adalah logam. Jadi dari opsi di atas
yang termasuk konduktor : perak, aluminium, dan seng.
Kunci : C
5. Perhatikan gambar di bawah iniKegiatan di samping ini mengakibatkan
sisir plastik bermuatan listrik ........
A. positif karena elektron dari rambut mengalir ke plastik
B. positif, karena elektron dari plastik mengalir ke rambut
C. negatif, karena elektron dari rambut mengalir ke plastik
D. negatif, karena elektron dari plastik mengalir ke rambut
Pembahasan :
Ketika kita menggunakan sisir yang terbuat dari plastik untuk menyisir rambut kering. Maka muatan negatip yang ada pada rambut kering menempel di sisir plastik.
Kunci : C
6. Sebuah elektroskop diberi muatan negatif. Apabila didekati oleh benda
yang bermuatan negatif, daun-daun elektroskop akan ……
A. makin membuka.
B. makin menutup.
C. tetap seperti semula.
D. menjadi netral.
Pembahasan :
Elektroskop elektron (elektroskop negatip) sebelum didekati benda positip maupun negatip, daun elektroskopnya sudah mekar. Dan apabila suatu benda yang mau dideteksi muatannya didekatkan. Jika daun elektroskop menutup, maka benda yang didekatkan tersebut adalah benda bermuatan positip. Dan jika benda yang didekatkan membuat daun elektroskop makin mekar, maka benda yang didekatkan dengan elektroskop elektron adalah benda bermuatan negatip. Sebab terjadi gaya tolak – menolak pada daun elektroskop elektron.
Kunci : A
7. Batang kaca yang bermuatan listrik positip bila digosok dengan kain sutera,
karena ........
A. tidak ada perpindahan elektron
B. elektron dari kain sutera dan batang pindah bersama-sama
C. elektron dari kain sutera pindah ke batang kaca
D. elektron dari batang kaca pindah ke kain sutera
Pembahasan :
Jika batang kaca yang buram akibat debu, debu merupakan muatan elektron. Lalu digosok dengan kain sutera, maka debu dari kaca akan menempel pada kain sutera. Sementara setelah digosok dengan kain sutera, kaca akan menjadi mengkilap sebab debu telah berpindah dan menempel ke kain sutera.
Kunci : D
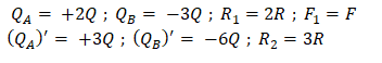
8. Dua buah muatan listrik + 2Q dan - 3Q terpisah sejauh 2R, tarik-menarik
dengan gaya listrik sebesar F. Jika muatan listrik diubah menjadi + 3Q dan
– 6Q dan terpisah sejauh 3R, maka gaya listrik tarik-menariknya menjadi
..........
Pembahasan :
Diketahui :
Ditanya : F2 = … ?
Jawab :
Kunci : D
9. Gaya tarik menarik antara dua benda bermuatan tidak sejenis sebesar.F
. Jika jarak kedua muatan itu dibuat 5 kali semula, gaya tarik-menarik antara
kedua muatan menjadi ......
Pembahasan :
Diketahui :
Muatan tidak disebutkan berubah, yang disebutkan berubah adalah jarak dan besar gaya tarik – menarik diantara dua jeni muatan tidak sejenis.
Ditanya : F2 = … ?
Jawab :
Kunci : C
10. Dua buah muatan listrik + 2Q dan - Q terpisah sejauh 2R, tarik-menarik
dengan gaya listrik sebesar F. Jika muatan listrik diubah menjadi + 2Q dan
– 2Q dan terpisah sejauh 6R, maka gaya listrik tarik-menariknya menjadi
..........


















0 comments:
Posting Komentar
Silahkan Berkomentar dengan Bijak sesuai dengan semangat kemajuan yang membangun Blog ini dan Jangan keluar dari topik