Merupakan hasil interferensi 2 gelombang bunyi yang
berbeda nilai frekuensinya. Akibatnya bunyi yang terdengar
dapat menjadi lebih keras dan lemah secara berurutan,
Penyelesaian :
contoh bunyi pesawat terbang. Jika dikatakan terjadi satu
layangan (1 layangan ) berarti interval bunyi keras ke bunyi
keras berikutnya atau bunyi lemah ke bunyi lemah
berikutnya.
Sehingga dapat dikatakan pelayangan bunyi adalah
Sehingga dapat dikatakan pelayangan bunyi adalah
selisih frekuensi gelombang bunyi keras dengan lemah.
Dua buah gelombang bunyi, masing – masing
Contoh 01:
Dua buah gelombang bunyi, masing – masing
dengan frekuensi 300 Hz dan a Hz dibunyikan
pada saat bersamaan. Jika terjadi 10 buah
layangan dalam 2 sekon, hitunglah frekuensi
nilai a.
Penyelesaian :
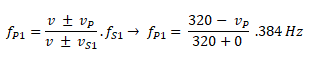
Contoh 02 :
Sebuah garputala yang diam bergetar dengan frekuensi 384 Hz. Garputala lainnya yang bergetar dengan frekuensi
380 Hz dibawa seorang anak berlari menjauhi garputala
pertama. Jika cepat rambat bunyi di udara 320 m/s dan
anak tersebut tidak mendengar layangan.
Hitunglah kecepatan si anak berlari membawa









0 comments:
Posting Komentar
Silahkan Berkomentar dengan Bijak sesuai dengan semangat kemajuan yang membangun Blog ini dan Jangan keluar dari topik