google-site-verification=ne6G5Vr6nbD8EHcN8bwnfb0Wd2QIbpMNrb27Dl6jG4o Soal penghantar – 2, Ukuran Pemusatan dan Penyebaran Data Berkelompok halaman 61 ~ ULIMORANGKIR

Soal penghantar – 2, Ukuran Pemusatan dan Penyebaran Data Berkelompok halaman 61

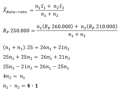
Soal : 6
Gaji rata – rata pegawai suatu perusahaan Rp 250.000,00. 
Gaji rata – rata pegawai prianya Rp 260.000,00, sedangkan 
gaji rata – rata pegawai wanitanya Rp 210.000,00. 
Berapa perbandigan jumlah pegawai pria dan pegawai 
wanita di perusahaan tersebut.
 
Pembahasan :

Dik :
Gaji rata – rata, XRata – rata = Rp 250.000
Gaji Pria, X1 = Rp 260.000
Gaji Wanita, X2 = Rp 210.000

Dit :

Perbandingan jumlah pegawai Pria dengan pegawai Wanita, 
n1 : n2 = … ?
 
Peny :

Soal penghantar – 2, Ukuran Pemusatan dan Penyebaran Data Berkelompok halaman 61 soal 5














Soal : 7

Tentukan rataan hitung pada masing – masing data berikut ini.

a.  2, 3, 4, 5, 6

b.  ½ , ½, ¼, ¼, 1/5, 1/5, 1/5, 1/8, 1/8, 1/8, 1/9

c.   3, 5, 2, 6, 5, 9, 5, 2, 8, 6

 


 

Pembahasan :

 

Bagian a)

 

Data = 2, 3, 4, 5, 6

Soal penghantar – 2, Ukuran Pemusatan dan Penyebaran Data Berkelompok halaman 61 soal 6a

 







Bagian b)

 
Data = ½ , ½, ¼, ¼, 1/5, 1/5, 1/5, 1/8, 1/8, 1/8, 1/9

Soal penghantar – 2, Ukuran Pemusatan dan Penyebaran Data Berkelompok halaman 61soal 6

 







Bagian c)
 
Data = 3, 5, 2, 6, 5, 9, 5, 2, 8, 6

Soal penghantar – 2, Ukuran Pemusatan dan Penyebaran Data Berkelompok halaman 61soal 7








 

Soal : 8

Dari 100 bilangan yang tersedia, bilangan 4 ada 20 buah, 
bilangan 6 ada 30 buah, dan sisanya bilangan 7. 
Hitunglah rata – rata dari 100 bilangan tersebut.

 

Pembahasan :

 

Jumlah Bilangan

Bilangan

20

4

30

6

50

7

 

Soal penghantar – 2, Ukuran Pemusatan dan Penyebaran Data Berkelompok halaman 61soal 8










 

Soal : 9

Empat kelompok pelajar masing – masing terdiri dari 15, 
20, 10, dan 18 orang. Rata – rata tinggi badan tiap kelompok 
berturut – turut 1,62 meter, 1,48 meter, 1,53 meter, 
dan 1,40 meter. 
Tentukan rata – rata tinggi badan semua pelajar itu.

 

Pembahasan :

 

Kelompok Pelajar

Tinggi Badan

 (meter)

15

1,62

20

1,48

10

1,53

18

1,40




Soal penghantar – 2, Ukuran Pemusatan dan Penyebaran Data Berkelompok halaman 61soal9



















Soal : 10

Tiga guru Matematika melaporkan nilai rata – rata ulangan 

Matematika sebagai berikut :

(i)   Kelas A, 17 siswa dengan nilai rata – rata 79

(ii)  Kelas B, 25 siswa dengan nilai rata – rata 74

(iii) Kelas C, 32 siswa dengan nilai rata – rata 82

Hitunglah nilai rata – rata ulangan Matematika untuk ketiga 

kelas itu

 

Pembahasan :

 

Kelas  

Jumlah siswa  

Nilai rata – rata

A

17

79

B

25

74

C

32

82

 


Soal penghantar – 2, Ukuran Pemusatan dan Penyebaran Data Berkelompok halaman 61soal10


 








Pilihan Berganda :

11.   Dari tiga bilangan, yang terkecil adalah 39 dan yang 
        terbesar adalah 75. Rataan hitung ketiga bilangan 
        tersebut tidak mungkin sama dengan …

A.  49

B.  52

C.  53

D. 59

E.  60

 
        12.   Dalam suatu kelas terdapat siswa sebanyak 21 orang. 
                Nilai rataan matematikanya adalah 6. Jika seorang siswa 
                yang paling rendah nilainya tidak diikutsertakan, maka nilai 
                rataanya berubah menjadi 6,2. 
                Nilai siswa yang paling rendah itu adalah …

A.  4

B.  3

C.  2

D. 1

E.  0

 

        13.   Suatu keluarga mempunyai lima orang anak. 
                Anak termuda berumur x tahun dan yang tertua 2x tahun. 
                Tiga anak yang lain berturut – turut berumur x + 2, x + 4, 
                dan (2x – 3) tahun. Jika rataan umur mereka 16 tahun, 
                anak kedua berumur …

A.  11 tahun

B.  13 tahun

C.  15 tahun

D. 18 tahun

E.  22 tahun

 

 
        14.   Umur rata – rata (rataan hitung) dari suatu kelompok 
                yang terdiri dari dokter dan jaksa adalah 40 tahun. 
                Jika rataan umur para dokter 35 tahun dan rataan umur 
                para jaksa 50 tahun, 
                perbandingan banyak jaksa dan banyak dokter adalah …  

A.  3 : 2

B.  3 : 1

C.  2 : 3

D. 2 : 1

E.  1 : 2

 
        15.   Rataan hitung dari sepuluh bilangan ganjil yang 
                pertama adalah …

A.  10

B.  30

C.  50

D. 70

E.  100

 
        16.   Rataan hitung dari n bilangan kuadrat yang pertama 
                adalah …














        
        17.   Mean dari nilai – nilai 1,2,3,…,n. dengan 
                masing – masing frekuensi x, 2x, 3x,…,nx adalah …


 








        18.   Sekumpulan data mempunyai mean 12 jangkauan 6. 

                Jika setiap data dikurangi dengan a kemudian hasilnya 
                dibagi dengan b, ternyata menghasilkan data baru dengan 
                mean 2 dan jangkauan 3. Selisih a dan b adalah …

A.  8

B.  6

C.  4

D. 2

E.  0

 
        19.   Jika pada sekelompok data dengan nilai rataan 6 
                ditambahkan data yang besarnya 8, nilai rataannya akan 
                naik 0,25. Jika pada data itu ditambahkan lagi datum – 
                datum 3, 4, 5, 4, 8, 5, 2, 4, nilai rataanya adalah …
A.  5, 3125
B.  5,25
C.  5,00
D. 4,90
E.  4,80
 
        20.   Nilai rata – rata ujian sekelompok siswa yang berjumlah 
                40 orang dalah 51. Jika seorang siswa dari kelompok ini 
                yang mendapat nilai 90 tidak dimasukkan dalam 
                perhitungan rata – rata itu, nilai rata – rata ujian 
                akan menjadi

A.  50

B.  49

C.  48

D. 47

E.  46

 

 

0 comments:

Posting Komentar

Silahkan Berkomentar dengan Bijak sesuai dengan semangat kemajuan yang membangun Blog ini dan Jangan keluar dari topik