Selamat
datang di blog saya,
Pada
kesempatan kali ini kita akan membahas 10 soal Relativitas yang dikutip dari
buku BRILIAN 3 Fisika untuk kelas XII SMA/MA halaman 104 – 105.
Pilihan Berganda
Soal : 1
Sebuah
partikel yang bergerak dengan kelajuan 0,4c terhadap kerangka acuan
laboratorium memancarkan sebuah elektron searah dengan kecepatan 0,5c relatif
terhadap partikel. Laju elektron tadi menurut kerangka acuan laboratorium
paling dekat nilainya sama dengan …
A. 0,25c D. 0,75c
B. 0,50c E. 0,80c
C. 0,65c
Kunci : D
Pembahasan
:
Perhatikan
gambar penyelesaian soal di bawah ini,
Soal : 2
Seorang
pengamat di sebuah pesawat ruang angkasa yang bergerak dengan kecepatan 0,8c
sedang mengamati sebuah kapal yang panjangnya 150 m. Pesawat tersebut bergerak
dalam arah panjang kapal. Panjang kapal hasil pengukuran pengamat tersebut
adalah …
A. 120 meter D. 45 meter
B. 90 meter E. 36 meter
C. 60 meter
Kunci : B
Pembahasan
:
Diketahui,
Panjang
saat diam, Lo = 150 m
Kecepatan
pesawat, v = 0,8c
Ditanya,
Panjang
saat bergerak, L = …. ?
Penyelesaian,
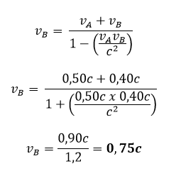
Soal : 3
Seseorang
sedang mengamati di sebuah planet, ada dua pesawat antariksa yang mendekatinya
dari arah yang berlawanan. Pesawat A bergerak dengan kecepatan 0,50c dan
pesawat B bergerak dengan kecepatan 0,40c ( c = cepat rambat cahaya). Menurut
pilot pesawat A besar kecepatan pesawat B adalah …
A. 0,90c D. 0,25c
B. 0,75c E. 0,10c
C. 0,40c
Kunci : B
Pembahasan
:
Soal : 4
Seorang
pengamat mengamati sebuah pesawat angkasa. Pesawat tersebut berada dalam
keadaan diam relatif terhadap pengamat. Penampang pesawat tersebut berbentuk
lingkaran dengan jari – jari R. Jika pesawat angkasa tersebut bergerak
mendekati pengamat dengan kelajuan relatif 0,8c, maka penampang akan berbentuk
…
A. Lingkaran dengan jari
– jari > R
B. Lingkaran dengan jari
– jari < R
C. Oval dengan diameter
besar > R dan diameter kecil = R
D. Oval dengan diameter
kecil < R dan diameter besar = R
E. Oval dengan diameter
kecil > R dan diameter besar = 2R
Kunci : E
Pembahasan
:
Perhatikan
gambar penyelesaian soal di bawah ini,
Diameter kecilnya lebih besar dari R ( dK > R ) sedangkan diameter besar sama dengan 2R (dB = 2R).
Soal : 5
Sebuah
kubus memiliki volume 1 liter ( 1 L = 1 dm3). Volume kubus menurut
seorang pengamat yang bergerak dengan kecepatan 0,8c relatif terhadap kubus
dalam arah sejajar salah satu rusuknya adalah …
A. 1.000 cm3 D. 500 cm3
B. 800 cm3 E. 300 cm3
C. 600 cm3
Kunci : C
Pembahasan
:
Dari
soal dijelaskan bergerak sejajar pada salah satu rusuknya. Maka cukup kita
tinjau salah satu rusuk yang dimaksud.
Volume kubus saat bergerak, V :
Soal : 6
Seorang
pengamat bergerak relatif terhadap suatu tangki berbentuk kubus dengan
kecepatan 0,8c. Tangki tersebut mempunyai volume 1 m3. Jika pengamat
tersebut diam terhadap tangki, maka panjang rusuk kubus yang teramati adalah …
m.
A. 0,1 D. 0,6
B. 0,2 E. 0,8
C. 0,4
Kunci : D
Pembahasan
:
Diketahui,
Kecepatan
relativitas, v = 0,8c
Volume
kubus saat diam, vo = 1 m3.
Ditanya,
Panjang
rusuk yang diamati, L = … ?
Penyelesaian
:
Soal : 7
Sebuah
pesawat supercepat bergerak terhadap bumi dengan kecepatan v = 0,6c. Di dalam
pesawat pulsa cahaya dipancarkan dari sumber S ke cermin C dan dipantulkan
kembali ke S.
Peristiwa ini diamati oleh A yang berada di dalam pesawat dan B berada di bumi. Menurut A waktu yang dipantulkan pulsa cahaya untuk bergerak bolak – balik S – C – S adalah 2 x 10 – 8 sekon, maka :
(1) Menurut A, jarak S ke
C adalah 3,0 meter
(2) Menurut B waktu yang
diperlukan pulsa cahaya untuk bergerak bolak – balik S – C – S adalah 2,5 x 10
– 8 sekon.
(3) Menurut B jarak S ke
C adalah 2,4 meter
(4) Menurut B kelajuan
cahaya pada saat bergerak dari C ke S adalah 1,2 x 10 – 8 m/s.
Pernyataan
yang benar ditunjukkan oleh nomor …
A. (1), (2), dan (3) D. (4) saja
B. (1) dan (3) E. Semua benar
C. (2) dan (4)
Kunci : A
Pembahasan
:
Perhatikan
gambar penyelesaian berikut ini,
Pernyataan
(1)
Jarak
cermin (C) ke sumber cahaya (S) menurut pengamat bergerak A yang berada di
dalam pesawat.
Kesimpulan
: Pernyataan (1) Benar
Pernyataan
(2)
Waktu
S – C – S menurut pengamat B diam di bumi. Dalam kasus ini, pengamat A berubah
menjadi kerangka diam (∆to)
sedangkan pengamat b menjadi kerangka yang bergerak (∆t).
Kesimpulan : Pernyataan (2) Benar
Pernyataan
(3)
Saat
awal,
Jarak
dSC menurut kerangka bergerak ( pengamat A) adalah 3 meter. Kita
akan hitung jarak dSC menurut kerangka diam (pengamat B).
Sekarang,
Kasusnya
dibalik, pengamat A berubah menjadi kerangka diam. Sedangkan pengamat B yang
diawal merupakan kerangkan diam, kini berubah menjadi kerangka yang bergerak.
Sehingga rumusannya menjadi :
Kesimpulan
: Pernyataan (3) Benar
Pernyataan
(4) : Salah
Melanggar
postulat ke – 2 Einstein, sebab cepat rambat cahaya selalu sama untuk kerangka
diam maupun kerangka yang bergerak.
Soal : 8
Dilatasi
waktu suatu sistem yang bergerak pada kecepatan 0,8c dengan sistem yang
bergerak dengan kecepatan 0,6c memiliki perbandingan …
A. 16 : 9 D. 4 : 3
B. 9 : 16 E. 5 : 4
C. 9 : 2
Kunci : D
Pembahasan
:
Untuk
sistem bergerak dengan kecepatan v = 0,8c :
Untuk
sistem bergerak dengan kecepatan v = 0,6c :
Didalam
soal tidak ada disebutkan nilai ∆t0 , sehingga kita anggap nilainya
sama. Sehingga perbandingannya dapat kita hitung.
Soal : 9
Sebuah
partikel meluruh dalam waktu 10 – 7 sekon ketika dalam keadaan diam.
Jika partikel tersebut bergerak menempuh jarak 60 meter sebelum meluruh, maka
kecepatan partikel tersebut adalah …
Kunci : D
Pembahasan
:
Waktu
bergerak ∆t ,
Kecepatan
v ,
Kita
kuadratkan ruas kiri dan kanan,
Soal : 10
Kecepatan
sebuah partikel bergerak agar mempunyai energi kinetik yang besarnya setengah
energi diamnya adalah …
A. 0,445 c D. 0,795 c
B. 0,675 c E. 0,885 c
C. 0,745 c
Kunci : C
Pembahasan
:
Kita
kuadratkan ruas kiri dan kanan,
Wajib
kita gunakan kalkulator,






0 comments:
Posting Komentar
Silahkan Berkomentar dengan Bijak sesuai dengan semangat kemajuan yang membangun Blog ini dan Jangan keluar dari topik