Kunci : A
Pembahasan
:
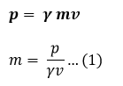
Momentum
p relativistik,
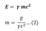
Energi
E relativistik,
Kita
substitusikan persamaan (1) dan persamaan (2),
Soal : 15
Jika
energi total proton adalah tiga kali energi diamnya, maka laju proton adalah …
A. (2c √2)/3 D. (c √11)/2
B. (c √5)/4 E. (c √3)/6
C. (3c √3)/5
Kunci : A
Pembahasan
:
A. (22,50 x 10 – 4 gram)c2 D. (21,65 x 10 – 3 gram)c2
B. (22,50 x 10 – 3 gram)c2 E. (28,65 x 10 – 4 gram)c2
C. (21,65 x 10 – 4 gram)c2
Kunci : C
Pembahasan
:
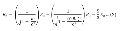
Kecepatan
benda, v = 0,5c
Kecepatan benda, v = 0,8c
Kemudian
kita bandingkan persamaan (1) dengan persamaan (2)
Soal : 17
Sebuah
elektron energi diamnya E0 MeV, energi totalnya E MeV. Jika c
kelajuan cahaya dalam ruang hampa, maka :
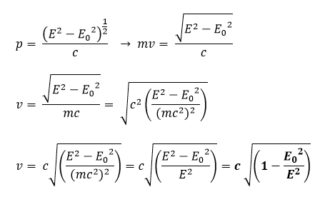
(1) Momentum linier
elektron (E2 – E02)1/2 / c
(2) Energi kinetiknya (E
– E0)
(3) Kelajuan elektron c
[1 – (E0/E)2]1/2
(4) Bedapotensial yang
diperlukan untuk mempercepatnya dari keadaan diam adalah (E – E0) x
106 volt
Pernyataan yang benar
ditunjukkan oleh nomor …
A. (1), (2), dan (3) D. (4) saja
B. (1) dan (3) E. Semua benar
C. (2) dan (4)
Kunci : E
Pembahasan :
Pernyataan (1), Benar
Pernyataan (2), Benar
Pernyataan (3), Benar
Pernyataan (4), Benar
Soal : 18
Sebuah benda memiliki
massa 4 kg bergerak dengan kecepatan 0,6c ( c kelajuan cahaya). Benda tersebut
bertumbukkan dengan benda yang sama dan kecepatan yang sama namun arahnya
berlawanan. Jika setelah tumbukkan kedua benda menyatu dan tidak ada energi yang
teradiasikan, maka massa benda gabungan setelah tumbukkan adalah …
A. 13,3 kg D. 6,4 kg
B. 10,0 kg E. 4,0 kg
C. 8,0 kg
Kunci : B
Pembahasan :
Saat benda diam, massanya m0 = 4 kg dan saat
bergerak massanya menjadi m.
Sesuai hukum kekekalan momentum.
Karena
setelah tumbukkan kedua benda m1 dan m2 berhenti, berarti
tidak ada energi yang diradiasikan. Maka massa gabungan kedua benda : m1
+ m2 = 10 kg.
Soal : 19
Seorang
pengamat di stasiun ruang angkasa mengamati adanya dua pesawat antariksa A dan
B yang datang menuju stasiun tersebut dari arah yang berlawanan dengan laju VA
= VB = ¾ c ( c adalah cepat rambat cahaya). Kelajuan pesawat A
menurut pilot pesawat B adalah …
A. 9c/16 D. 4c/3
B. 8c/9 E. 3c/2
C. 24c/25
Kunci : C
Pembahasan :
Soal : 20
Panjang
benda diukur pengamat yang diam = 12 meter. Panjang benda benda tersebut bila
diukur oleh pengamat yang bergerak dengan kecepatan 0,8c relatif terhadap benda
adalah …
A. 12,6 meter D. 7,2 meter
B. 12,2 meter E. 6,0 meter
C. 9,6 meter
Kunci : D
Pembahasan :






0 comments:
Posting Komentar
Silahkan Berkomentar dengan Bijak sesuai dengan semangat kemajuan yang membangun Blog ini dan Jangan keluar dari topik