Selamat
datang diblog saya, pada kesempatan kali ini saya akan berbagi pengalaman
belajar – mengajar. Saat saya mengajar private les anak SUTOMO 1 MEDAN, yang
termasuk ke dalam kelas EXEL. Dan anak private les ini mampu menyelesaikan
pendidikannya dibangku SMA hanya 2 tahun. Kemudian anak private les saya ini
diterima di Fakultas Kedokteran USU melalui jalur undangan.
Pengalaman
berbagi yang saya bagikan hanya soal dilengkapi kunci jawaban. Sedangkan
pembahasannya saya bagikan di media youtube saya. Semoga pengalaman berbagi ini
memberikan manfaat buat kita semua.
SOAL UJIAN SEMESTER
GANJIL TP 2016/2017
TYPE A
BIDANG STUDI :
MATEMATIKA WAJIB
KELAS :
XII MIA
TANGGAL :
16 DESEMBER 2016
JUMLAH SOAL :
30 SOAL PILIHAN BERGANDA
WAKTU :
120 MENIT
Hitamkan
jawaban yang paling tepat di LJK
Soal : 1
Pusat
dan jari – jari lingkaran 2x2 + 2y2 + 8x – 12y + 18 = 0
adalah ….
A. (– 2, 3) ; 2
B. (– 4, 6) ; √34
C. (2,3) ; 4
D. (3, – 2) ; 2
E. (4, – 6) ; √34
Soal : 2
Persamaan
garis singgung yang ditarik dari titik (4, – 4) pada x2 + y2
– 6x + 4y + 8 = 0 adalah …
A. 3x + 4y + 4 = 0
B. x – 2y – 12 = 0
C. – 3x + 4y + 28 = 0
D. 3x – 4y – 28 = 0
E. x + 2y + 4 = 0
Soal : 3
One
of the tangent lines of the circle ( x + 5)2 + (y – 4)2 =
13 that is perpendicular (tegak lurus) to line 2x + 3y – 10 = 0 is …
A. 3x – 2y + 10 = 0
B. 3x – 2y + 26 = 0
C. 2x – 3y – 10 = 0
D. 3x – 2y + 15 = 0
E. 2x – 3y + 10 = 0
Soal : 4
Persamaan
parabola puncak (0,0) dan berfokus di (0, – 2) adalah …
A. y2 = – 8x
B. y2 = – 4x
C. x2 = – 8y
D. x2 = 8y
E. x2 = – 4y
Soal : 5
Persamaan
parabola yang berfokus di (2,2) dan persamaan garis direktris x = – 4 adalah …
A. y2 + 4y +
12x – 8 = 0
B. x2 – 4x –
12y – 8 = 0
C. y2 – 4y +
12x + 8 = 0
D. x2 – 4x +
12y = 8 = 0
E. y2 – 4y –
12x – 8 = 0
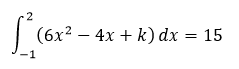
Soal : 6
Given
that
Then
the value of k is ….
A. 1
B. 2
C. 3
D. 4
E. 5
Soal : 7
Hasil
dari
Sama dengan …
Soal : 8
∫(4 sin 4x cos 2x) dx =
…
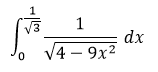
Soal : 9
∫(sin 2x + cos 2x)2
dx = …
Soal : 10
The value of
A. 1
B. 2
C. 3
D. 4
E. 5
Soal : 11
Nilai
dari
adalah
…
A. 10
B. 20
C. 30
D. 40
E. 50
Soal : 12
Nilai
dari
Nilai
dari (15/56)a adalah …
A. 1
B. 2
C. 3
D. 4
E. 5
Soal : 13
Soal : 14
Perhatikan
kubus berikut.
A. 1
B. 2
C. 3
D. 4
E. 5
Soal : 15
Perhatikan
persegi panjang berikut!
A. 1
B. 2
C. 3
D. 4
E. 5
Soal : 16
A. 1 : 1
B. 1 : 2
C. 2 : 3
D. 2 : 1
E. 3 : 2
Soal : 17
Diketahui
A(p, – 3, p + 2), B(– 4, 1, 6), dan C(– 1, – 1, 5). Jika A, B, C kolinear. Maka
nilai p adalah …
A. 1
B. 2
C. 3
D. 4
E. 5
Soal : 18
Soal : 19
Soal : 20
A. – 1
B. – 5
C. 3
D. 4
E. – 6
Soal : 21
Soal : 22
Soal : 23
A. – 18
B. 13
C. 16
D. 54
E. – 36
Soal : 24
Soal : 25
A. 30
B. 45
C. 60
D. 120
E. 150
Soal : 26
Diketahui
segitiga ABC dengan A(4, – 2, 1), B(3, 1, 3) dan C(6, – 1, 4). Besar sudut ABC
adalah … 0.
A. 30
B. 45
C. 60
D. 120
E. 150
Soal : 27
A. 4/3
B. 2/3
C. 5/2
D. 6/5
E. 7/8
Soal : 28
A. ( – 6, – 2, 3)
B. (– 12, – 4, 6)
C. (12, 4, 6)
D. (6, – 12, – 4)
E. (6, 2, – 3)
Soal : 29
A. – 1
B. – 5
C. 3
D. 4
E. – 6
Soal : 30
Luas
jajarangenjang ABCD dengan koordinat A(1, 3, 2), B(– 5, 6, 1), dan D(3, 5, – 2)
adalah …
A. 10
B. 20√15
C. 25
D. 40
E. 10√11






0 comments:
Posting Komentar
Silahkan Berkomentar dengan Bijak sesuai dengan semangat kemajuan yang membangun Blog ini dan Jangan keluar dari topik