Semester : II (Dua)
Kelas : X SMA
Kurikulum : Merdeka
Materi Ajar : Fungsi Kuadrat
Tempat les : Jl. Jafaris gang Kemala II Medan
Wacana :
[ ] Suhu tubuh
Pak Budi tertinggi pada hari ke – 5.
[ ] Suhu tubuh
maksimum Pak Budi adalah 39 0C.
[ ] Suhu tubuh Pak Budi pada hari ke – 2 adalah
34,25 0C.
[ ] Suhu tubuh
Pak Budi pada hari ke – 3 adalah 38 0C.
[ ] Suhu tubuh Pak Budi pada hari ke – 2 sama dengan
hari ke – 8.
Titik yP = 39, berarti nilai
maksimum/minimum.
Titik yang dilalui grafik (1,35) dan (9,35)
(1,35) Ã f(1) = a(1)2 + b(1) + c
35 = a + b + c … (4)
(9,39) Ã f(9) = a(9)2 + b(9) + c
35 = 81a + 9b + c … (5)
280 = - 72a + 8(25a + 39)
280 = - 72a + 200a + 312
280 – 312 = 128a
- 32 = 128a
a = - ¼
b = - 10a
b = - 10 (- ¼)
b = 10/4
Catatan : kita biarkan saja nilai b = 10/4.
Selanjutnya kita menghitung nilai c melalui persamaan
(3),
c = 25a + 39
c = 25(- ¼ ) + 39
c = - 25/4 + 39
c = - 25/4 + (39 x 4)/4
c = 131/4
Maka kita akan memperoleh fungsi kuadrat,
[ √ ] Suhu tubuh Pak Budi tertinggi pada hari ke – 5.
[ √ ] Suhu tubuh maksimum Pak Budi adalah 39 0C.
[ X ] Suhu tubuh Pak Budi pada hari ke – 2 adalah
34,25 0C.
[ √ ] Suhu tubuh Pak Budi pada hari ke – 3 adalah 38 0C.
[ √ ] Suhu tubuh Pak Budi pada hari ke – 2 sama dengan
hari
ke – 8.
Soal : 2
|
Pernyataan |
Benar |
Salah |
|
Selisih suhu tubuh maksimum Pak Budi pada hari ke –
2 dan ke – 3 adalah 1,250C. |
|
|
|
Selisih suhu tubuh maksimum Pak Budi pada hari ke –
3 dan ke – 4 adalah 0,250C. |
|
|
|
Jumlah suhu tubuh Pak Budi pada hari ke – 2 dan ke –
4 adalah 75,5 0C. |
|
|
|
Jumlah suhu tubuh Pak Budi pada hari ke – 3 dan ke –
6 adalah 66,75 0C. |
|
|
|
Tidak terdapat perbedaan suhu tubuh Pak Budi pada
hari ke – 4 dan ke – 6. |
|
|
Pembahasan
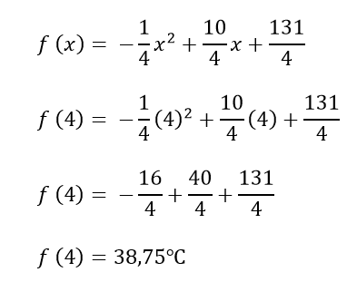
hari ke - 4
Kita simpulkan :
Hari ke – 2 suhu Pak Budi 36,75 0C
Hari ke – 3 suhu Pak Budi 38 0C
Hari ke – 4 suhu Pak Budi 38,75 0C
Hari ke – 5 suhu Pak Budi 39 0C
Hari ke – 6 suhu Pak Budi 38,75 0C
Hari ke – 8 suhu Pak Budi 36,75 0C
|
Pernyataan |
Benar |
Salah |
|
Selisih suhu tubuh maksimum Pak Budi pada hari ke –
2 dan ke – 3 adalah 1,250C.
|
√ |
|
|
Selisih suhu tubuh maksimum Pak Budi pada hari ke –
3 dan ke – 4 adalah 0,250C.
|
|
X |
|
Jumlah suhu tubuh Pak Budi pada hari ke – 2 dan ke –
4 adalah 75,5 0C.
|
√ |
|
|
Jumlah suhu tubuh Pak Budi pada hari ke – 3 dan ke –
6 adalah 66,75 0C.
|
|
X |
|
Tidak terdapat perbedaan suhu tubuh Pak Budi pada
hari ke – 4 dan ke – 6.
|
√ |
|
Soal : 3
Menurut dokter, Pak Budi diperbolehkan pulang dari rumah
(tuliskan jawaban dalam angka saja).
Pembahasan
Kita gunakan rumus abc,
Kita ambil pendekatan 5,6568 menjadi 6.










0 comments:
Posting Komentar
Silahkan Berkomentar dengan Bijak sesuai dengan semangat kemajuan yang membangun Blog ini dan Jangan keluar dari topik