Soal ini saya kutip dari soal seleksi KSN 2020 Bidang
Fisika
untuk tingkat Kabupaten/Kota.
Soal : 02
Selama empat hari berturut – turut, seorang anak
berangkat dari rumah dengan berjalan kaki menuju sekolah selalu pada waktu keberangkatan yang sama. Bel masuk sekolah juga memang diset untuk berbunyi
pada waktu yang sama.
Bagian a)
Pada hari pertama, anak terbsebut mulai berjalan dengan kecepatan awal
50 meter per menit dan dipercepat dengan percepatan 2 meter per menit2.
Ternyata dia tiba di sekolah 5 menit setelah bel berbunyi.
Bagian b)
Pada hari kedua, anak tersebut mulai berjalan dengan kecepatan awal 150
meter per menit dan diperlambat dengan perlambatan 2 meter per menit2.
Ternyata dia tiba di sekolah 5 menit sebelum bel berbunyi.
Bagian c)
Pada hari ketiga, ia memutuskan untuk berjalan dengan kecepatan konstan (yang nilainya lebih besar dari 100 meter per menit) hingga tiba di sekolah. Ternyata
dia tiba di sekolah tepat saat bel berbunyi.
Bagian d)
Jika pada hari keempat ia berjalan dengan kecepatan
konstan 100 meter per menit, berapa menit ia tiba di sekolah setelah bel
berbunyi.
Pembahasan :
Catatan soal :
·
Anak berangkat pada waktu yang sama
·
Bel di setting berbunyi pada waktu yang sama
Diketahui,
Waktu berangkat dengan waktu bel, t (menit)
Jarak rumah – sekolah, x (meter)
Hari Pertama,
Si anak terlambat 5 menit, t1 = t + 5
(menit)
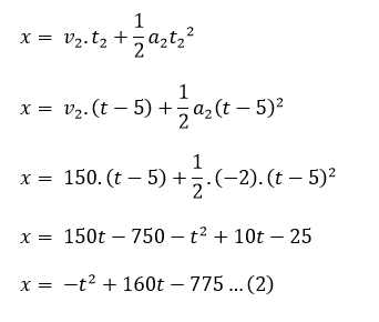
Hari Kedua,
Si anak lebih awal 5 menit, t2 = t – 5 (menit)
Persamaan (1) kita subsitusikan dengan persamaan (2)
Hari Ketiga,
Selanjutnya kita menghitung jarak rumah ke sekolah, untuk
memastikan nilai waktu yang digunakan. Untuk memastikan, kita komparasi dengan
kecepatan si anak di hari ketiga.
Sesuai dengan data soal di atas, si anak berencana
berjalan dengan kecepatan di atas 100 meter per menit.
Kecepatan si anak,
Dari keterangan soal, ia berniat berjalan dengan
kecepatan di atas 100 meter per menit. Dan hasilnya kecepatan si anak jika
jarak ke rumahnya 1400 meter, bernilai kurang dari 100 meter per menit.
Tambahan ( t = 35 menit )
Dengan jarak rumah ke sekolah sejauh 3600 meter, berarti kecepatan si anak pada hari ketiga diatas 100 meter per menit sudah tepat. Maka kesimpulannya, jarak rumah ke sekolah si anak adalah 3600 meter. Maka jarak 3600 meter inilah yang kita gunakan. Dan waktu yang digunakan, kita pakai t = 35 menit.
Hari
keempat,
Jarak rumah ke sekolah, x = 3600 meter dan waktu t4
dapat kita hitung.
Berarti si anak telah 1 menit saat tiba di sekolah dan
bel di sekolah telah berbunyi.
Terima Kasih,






0 comments:
Posting Komentar
Silahkan Berkomentar dengan Bijak sesuai dengan semangat kemajuan yang membangun Blog ini dan Jangan keluar dari topik