google-site-verification=ne6G5Vr6nbD8EHcN8bwnfb0Wd2QIbpMNrb27Dl6jG4o google-site-verification=ne6G5Vr6nbD8EHcN8bwnfb0Wd2QIbpMNrb27Dl6jG4o TRANSFORMATOR - 1 ~ ULIMORANGKIR

TRANSFORMATOR - 1

Selamat datang di blog saya,
Pada kesempatan kali ini saya berbagi pengalaman mengajar, tentang Transformator atau lebih sering disebut dengan trafo. Materi ini pernah saya bawakan ketika mengajar Bimbel kelas XII MIPA, di sekolah SMA Wage Rudolf Supratman 1 Jl. Asia No. 143 Medan.

Daftar isi : 
1. Defenisi Transformator (Trafo)
2. Contoh soal Penghantar 

Transformator (Trafo) = adalah suatu alat yang digunakan untuk mengubah besar tegangan ac.

TRANSFORMATOR  - 1


Jenis trafo :
·  Trafo Step – Down :
    Trafo yang berfungsi menurunkan tegangan.

TRANSFORMATOR  - 1


    Catatan : NP > NS ; VP > VS ; is < ip

·    Trafo Step – Up :
    Trafo yang berfungsi menaikkan tegangan

TRANSFORMATOR  - 1


    Catatan : NP < NS ; VP < VS ; is > ip

Dimana,
NP = jumlah lilitan primer
NS = jumlah lilitan sekunder
VP = tegangan primer
VS = tegangan sekunder

 

Transformator dapat juga dibagi menjadi transformator ideal dan transformator non – ideal.

· Transformator ideal ( η = 100 % )
Daya sekunder Ps sama dengan daya primer Pp dari sebuah trafo. Sehingga berlaku : 

TRANSFORMATOR  - 1

    ·    Transformator non ideal ( η ≠ 100 % )
Daya sekunder Ps tidak sama dengan daya primer Pp dari sebuah trafo. 

TRANSFORMATOR  - 1

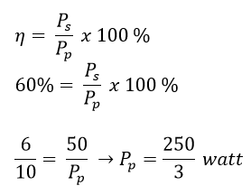
Soal : 1

Gambar di bawah ini menunjukkan transformator dengan

efisiensi 75 % dengan kumparan sekundernya dihubungkan

dengan sebuah lampu L. 




Maka :
1. tegangan sekunder 200 V
2. daya lampu ( rangkaian sekunder ) 400 W
3. arus yang lewat lampu 4 A
4. hambatan lampu sekitar 33,33 Ω

Dari keempat pernyataan di atas yang benar adalah .....
A.  1, 2, dan 3                 
B.  1 dan 3             
C.  2 dan 4
D.  4 saja                
E.  semua benar

Pembahasan :

Catatan = jika di dalam soal tidak disebutkan efisiensi trafo, maka kita menganggapnya trafo ideal. Dan berbeda halnya jika di dalam soal disebutkan nilai efisiensi.

TRANSFORMATOR  - 1

 
Maka besar hambatan, R : 

TRANSFORMATOR  - 1

Kunci : D
 
Soal : 2
Gambar di bawah ini melukiskan transformator,

TRANSFORMATOR  - 1

dengan efisiensi 50 % dengan kumparan sekundernya

dihubungkan dengan sebuah lampu L. Besarnya hambatan

listrik L adalah ... Ω.

A.  10

B.  30

C.  50

D.  70

E.  90

 

Pembahasan : 


TRANSFORMATOR  - 1

Efisiensi trafo, 

TRANSFORMATOR  - 1

Maka besar hambatan lampu, R : 

TRANSFORMATOR  - 1

Kunci : C

 

Soal : 3

Sebuah transformator memiliki tegangan primer sebesar 100 volt dan arus primer 10 A. Jika efisiensi transformator 75% maka energi yang hilang selama 1 menit adalah …

A.  10 kJ

B.  15 kJ

C.  20 kJ

D.  25 kJ

E.  30 kJ

 

Pembahasan : 


Diketahui,

Tegangan primer, Vp = 100 volt

Kuat arus primer, ip = 10 A

Efisiensi, η = 75%

Waktu, t = 1 menit

 

Ditanya,

Energi yang hilang, ∆W = … ?

 

Peny :

 

Daya primer, Pp


TRANSFORMATOR  - 1

Efisiensi trafo, 


TRANSFORMATOR  - 1

Daya yang hilang, ∆P : 


TRANSFORMATOR  - 1

Energi yang hilang, ∆W : 


TRANSFORMATOR  - 1

Kunci : B
 
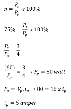
Soal : 4
Sebuah transformator step – up mengubah tegangan 25 volt menjadi 150 volt. Efisiensi transformator 60% dan kumparan sekundernya dihubungkan dengan lampu 150V/50W. Maka kuat arus dalam kumparan primernya …

A.  2,00 amper

B.  2,50 amper

C.  2,75 amper

D.  3,00 amper

E.  3,34 amper

 

Pembahasan :

 

Diketahui,
Tegangan primer, Vp = 25 volt
Tegangan sekunder, Vs = 150 volt
Efisiensi, η = 60%
Lampu, 150 V/50 W

 

Ditanya,
Kuat arus sekunder, is = … ?

 

Peny :
Kuat arus sekunder, is

TRANSFORMATOR  - 1

Efisiensi trafo, η : 

TRANSFORMATOR  - 1

Maka kuat arus primer, ip


TRANSFORMATOR  - 1

Kunci : E
 
Soal : 5
Sebuah transformator digunakan untuk menyalakan lampu 140W/24V dari suplai ac 240V. Arus melalui kabel utama adalah 0,7 A, maka efisiensi transformator … %.

A.  33

B.  48

C.  75

D.  83

E.  85

 

Pembahasan :

 

Diketahui,

Lampu, 140W/24V

Tegangan primer, VP = 240 V

Kuat arus primer, ip = 0,7A


Ditanya,

Efisiensi transformator, η = … ?
 
Peny :
Catatan, spek yang tertulis pada lampu 140W/24V. Otomatis daya sekunder trafo sama dengan 140W.
 
Daya pada primer, 

TRANSFORMATOR  - 1

Maka efisiensi trafo, η : 


TRANSFORMATOR  - 1

Kunci : D

 

Soal : 6

Sebuah trafo step – down dengan efisiensi 80% mengubah tegangan 1000 volt menjadi 200 volt. Trafo ini dihubungkan dengan lampu 220 volt ; 40W. Besar arus pada kumparan primer trafo adalah … A.

A.  5/121

B.  5/40

C.  121/40

D.  50/121

E.  50/12

 

Pembahasan :

 

Diketahui,
Tegangan primer, Vp = 1000 volt

Tegangan sekunder, Vs = 200 volt

Efisiensi trafo, η = 80%

Spek lampu, 220V/40W

 

Ditanya,
Kuat arus primer, ip = … ?

 

Peny :

 

Daya yang dipakai lampu menjadi daya sekunder, Ps

TRANSFORMATOR  - 1

Efisiensi, η : 


TRANSFORMATOR  - 1

Kunci : A

 

Soal : 7

Sebuah transformator step – down mengubah tegangan 20 volt menjadi 16 volt. Jika efisiensi trafo tersebut 75% dan kumparan sekunder dihubungkan ke lampu 16V/60W. Besar kuat arus pada kumparan primer … Amper.

A.  2,0

B.  3,0

C.  4,0

D.  5,0

E.  6,0

 

Pembahasan :

 

Diketahui,

Tegangan primer, Vp = 20 volt

Tegangan sekunder, Vs = 16 volt

Efisiensi trafo, η = 75%

Spek lampu, 16V/60W

 

Ditanya,

Kuat arus primer, ip = … ?

 

Peny :

 

Daya sekunder = daya terpakai, Ps


TRANSFORMATOR  - 1

Efisiensi, η : 

TRANSFORMATOR  - 1

Kunci : D

 

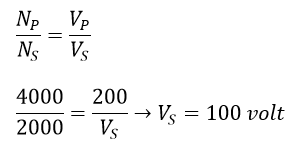
Soal : 8

Sebuah transformator memiliki jumlah lilitan primer 4000 lilitan dan lilitan sekunder 2000 lilitan. Pada bagian primer dihubungkan pada tegangan 200 volt dan bagian sekunder dihubungkan pada sebuah lampu. Bila efisiensi 65% dan arus yang mengalir pada kumparan sekunder 2A, maka besar hambatan lampu adalah …. Ω.

A.  25

B.  30

C.  40

D.  50

E.  65

 

Pembahasan :

 

Diketahui,

Jumlah lilitan, Np = 4000 lilitan

Jumlah lilitan, Ns = 2000 lilitan

Tegangan primer, Vp = 200 volt

Efisiensi trafo, η = 65%

Kuat arus sekunder, is = 2A

 

Ditanya,

Hambatan lampu, R = … ?

 

Peny : 


TRANSFORMATOR  - 1

Maka besar hambatan lampu, RL


TRANSFORMATOR  - 1


Kunci : D 


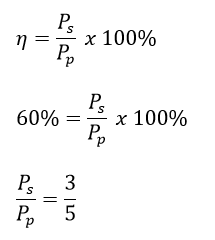
Soal : 9
Efisiensi sebuah transformator adalah 60%. Hal ini berarti …

A.  Kuat arus pada kumparan primer berbanding kuat arus pada kumparan sekunder 5 : 3

B.  Tegangan pada kumparan primer berbanding tegangan pada kumparan sekunder 3 : 5

C.  Jumlah lilitan primer berbanding jumlah lilitan sekunder 3 : 5

D.  Daya pada kumparan primer berbanding dengan daya pada kumparan sekunder 5 : 3

E.  Hambatan pada kumparan primer berbanding hambatan pada kumparan sekunder 3 : 5

 

Pembahasan :

 

Efisiensi trafo, 


TRANSFORMATOR  - 1

Kesimpulan :
Daya primer berbanding daya sekunder 5 : 3
 
Kunci : D 


0 comments:

Posting Komentar

Silahkan Berkomentar dengan Bijak sesuai dengan semangat kemajuan yang membangun Blog ini dan Jangan keluar dari topik